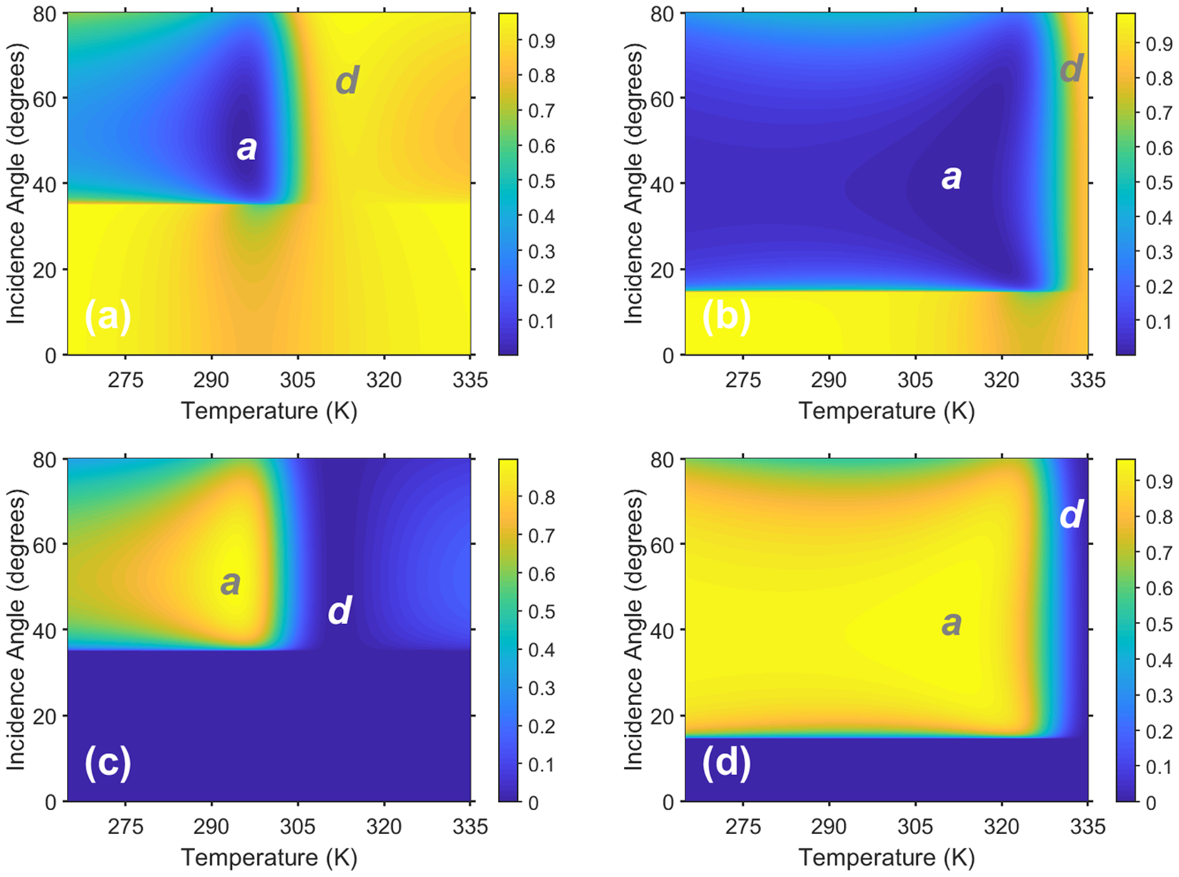
Figure 6

(a,b) Specular reflectance R0 and (c,d) nonspecular reflectance R−1 of structure B in the (T, θ)-plane at (a,c) f = 3.04 THz (kL = 3.99) and (b,d) f = 3.82 THz (kL = 5.014). The labels a and d indicate the regions in which the grating appears and effectively disappears.