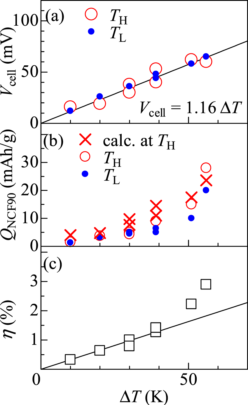
Figure 5
From: Thermal efficiency of a thermocell made of Prussian blue analogues

ΔT dependence of the (a) cell voltage (Vcell), (b) final extracted charge (QNCF90) from NCF90, and (c) thermal efficiency (η). The open and closed circles in (a) and (b) represent the data at TH and TL, respectively. The solid lines in (a) and (c) indicate the results of least-squares fitting. The crosses in (b) are values calculated from the discharge curves of NMF83 and NCF90.