Figure 2
From: Conduction Mechanisms on High Retention Annealed MgO-based Resistive Switching Memory Devices

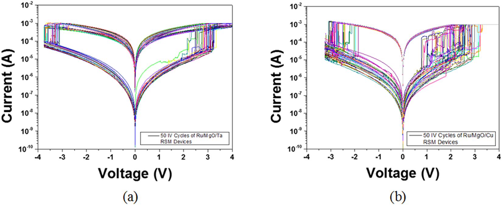
50 semi-log IV cycles of (a) Ru/MgO/Ta and (b) Ru/MgO/Cu RSM devices. It can be observed that the switching voltage distribution of Ru/MgO/Ta RSM devices was found to be more consistent than Ru/MgO/Cu RSM devices. The average ON/OFF ratio of the RSM devices was found to be 102.