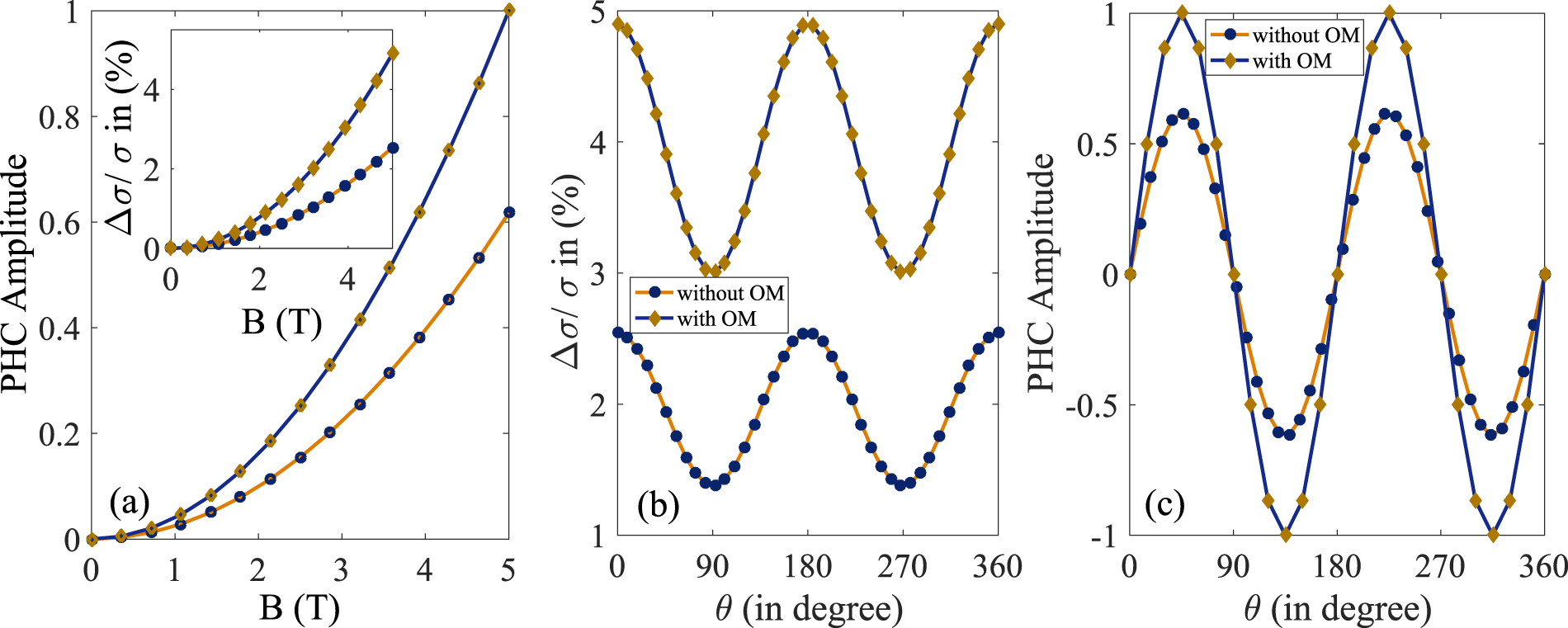
Figure 3
From: Berry phase theory of planar Hall effect in topological insulators

(a) Shows the dependence of amplitude of PHC (normalized by the maximum value of PHC in the presence of m) as a function of in-plane magnetic field at θ = π/4 and temperature T = 24 K. (Inset depicts the LMC in the presence as well as absence of orbital magnetic moment (m) as a function of in-plane magnetic field at θ = 0°. The other parameters are same as above). (b,c) Show the angular dependence of LMC and PHC (normalized) at T = 24 K in the presence and absence of m for B = 5 T. Here we have normalized the y axis of (c) by the value of PHC at θ = π/4 in the presence of m. Curves in yellow indicate the presence of m whereas blue lines are for m = 0. In all cases we consider the Fermi level situated at 27 meV from the bottom of the lowest conduction band.