Figure 4
From: Berry phase theory of planar Hall effect in topological insulators

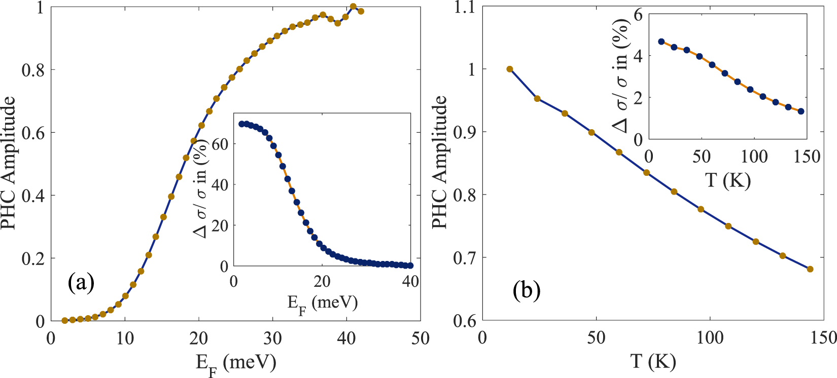
(a) Shows the amplitude of planar Hall conductivity (\(\theta =\frac{\pi }{4}\)) in the presence of orbital magnetic moment as a function of Fermi energy for B = 5 T and T = 24 K for the bulk states of Bi2Se3 (Inset Shows the behavior of LMC (θ = 0) as a function of Fermi energy). It is important to note that the magnitudes of LMC and PHC behave very differently as the band filling approaches the bottom of the conduction bands. The Fermi energy is measured from the bottom of the lowest conduction band. (b) Shows the temperature dependence of the amplitude of planar Hall conductivity (\(\theta =\frac{\pi }{4}\)) in the presence of m for B = 5 T for the bulk states of Bi2Se3 (Inset shows the temperature dependence of LMC (θ = 0)). The amplitude of PHC has been normalized by its maximum value in both figures.