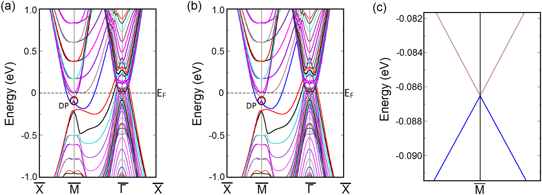
Figure 6

(a) Unperturbed (001) surface band structure of LaBi. The Dirac point (DP) found at the \(\bar{M}\)-point is encircled. (b) (001) surface band structure of LaBi when the c/a ratio of the slab is changed by ∼2%. (c) Corresponding Dirac cone at the \(\bar{M}\)-point remains stable even after the application of a TR-preserving perturbation. This robustness of the surface states bears testimony to the topological nature of LaBi in contrast to LaSb.