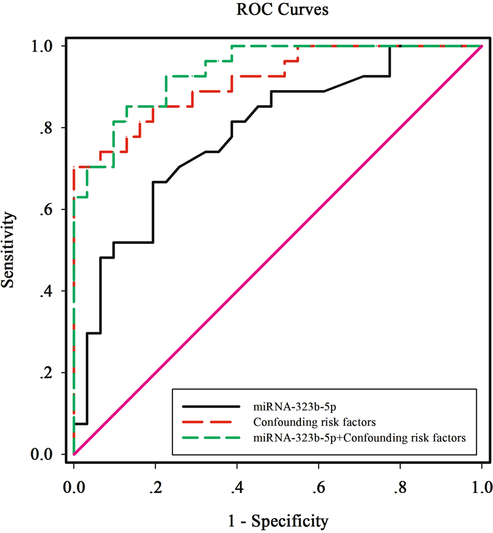
Figure 4

ROC curve analysis of the miRNA-323b-5p cut off point for the presence of CLI in T2DM patients. The AUC for miRNA-323b-5p was 0.78 (p < 0.001), the identified miR-323b-5p cut off point was 0.71, the Youden index was 0.47, the sensitivity was 62.67% and the specificity was 80.65%. The AUC for miRNA-323b-5p + confounding risk factors was 0.94 (p < 0.001). The confounding risk factors included T2DM duration, hypertension, smoking, FPG, HbA1c, TC, Cr, stain treatment and antihypertensive treatment. FPG, fasting plasma glucose; HbA1c, glycosylated hemoglobin; TC, total cholesterol; Cr, serum creatinine.