Figure 3
From: Efficient and Sensitive Electrically Small Rectenna for Ultra-Low Power RF Energy Harvesting

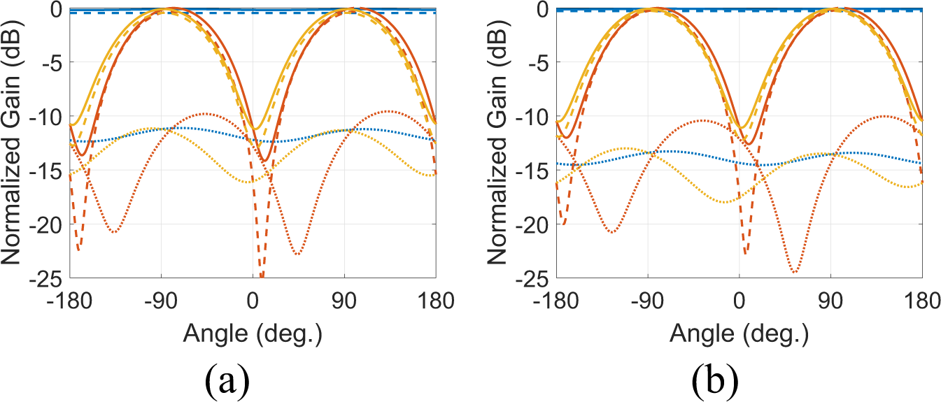
The total (solid lines), co-polar (dashed lines) and cross-polar (dotted lines) simulated normalized gain for the wire-SSRR (a) and the strip-SSRR (b) antenna in the xy– (blue lines) xz– (red lines) and yz–plane (yellow lines).