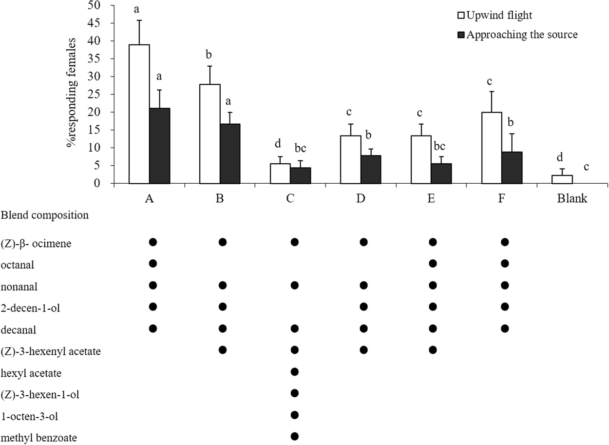
Figure 7

Number of responses of mated Heortia vitessoides females to synthetic blends from undamaged (A), mechanically damaged (B), herbivore (H. vitessoides) damaged Aquilaria sinensis plants 1 d (C), 2 d (D), 3 d (E), 4 d (F) following insect attack, and blank in the wind tunnel. Synthetic blends from different plant treatments eliciting consistent antennal responses in female H. vitessoides were prepared according to the natural ratios of each compound to the headspace collections (Table 2). Females were scored for upwind flights over 120 cm (white columns) and for approaching the source within 5 cm (black columns). Bars with the same colour and different letters were significantly different.