Figure 5
From: Studies on effects of static electric field exposure on liver in mice

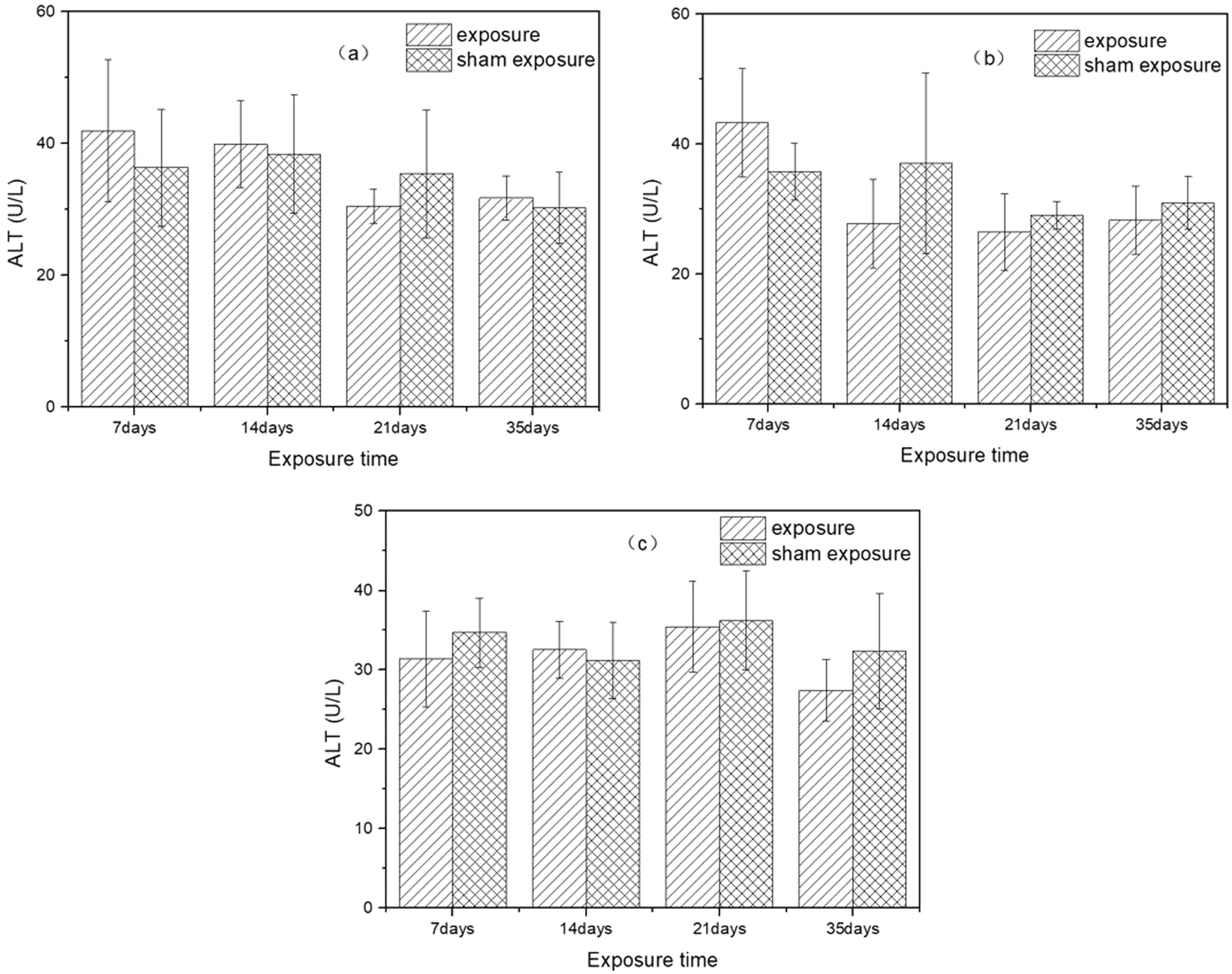
Effects of SEF on ALT activity in the serum of mice. (a) 56.3 kV/m, (b) 34.7 kV/m, (c) 27.5 kV/m.
From: Studies on effects of static electric field exposure on liver in mice

Effects of SEF on ALT activity in the serum of mice. (a) 56.3 kV/m, (b) 34.7 kV/m, (c) 27.5 kV/m.