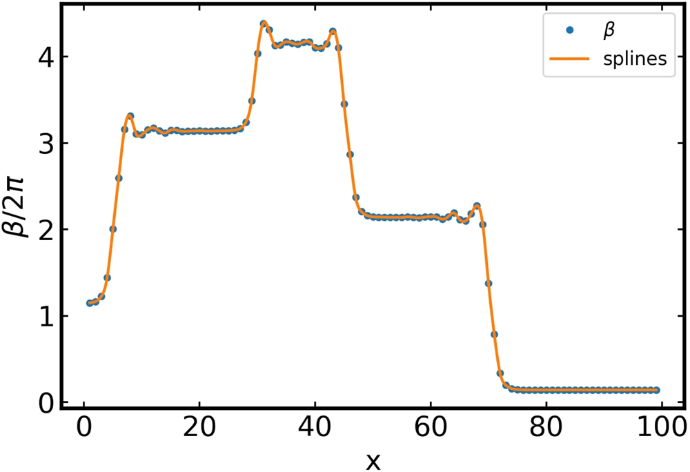
Figure 4

Phase difference profile. A snapshot of the phase difference \({\beta }_{x,L/2}\) on the row of junctions along the initial V-AV pair propagation. Each ascending step in βx corresponds to an antivortex and the decending step to a vortex, so that the net phase difference 2π between the left and right ends remains fixed. Calculation was done for \(\eta =0.3\), \(\varepsilon =1.0\) and \(\gamma =0.775\).