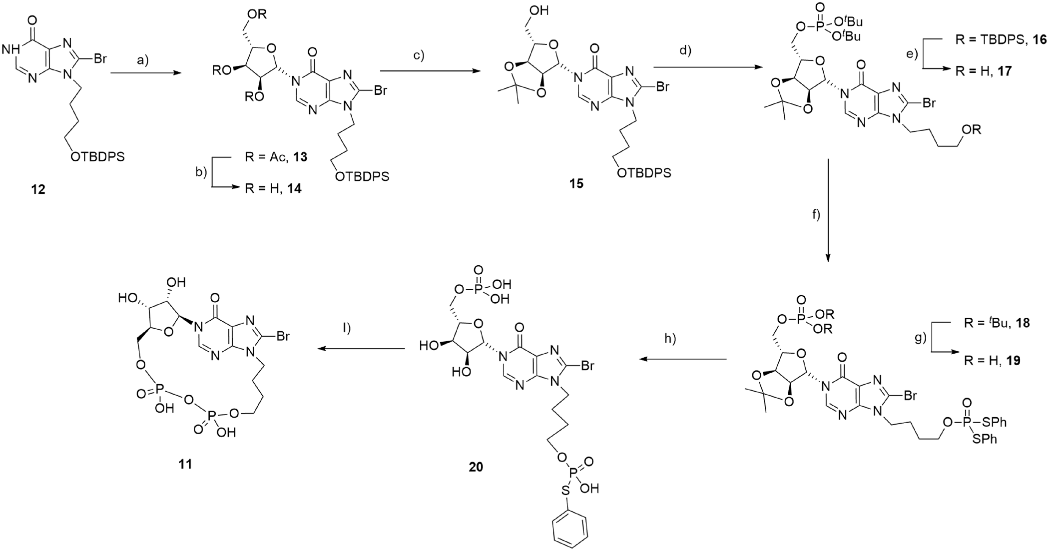
Figure 9
From: Synthetic cADPR analogues may form only one of two possible conformational diastereoisomers

Synthesis of 8-Br-L-N9-butyl-cIDPR (11). Reagents: (a) (i) DBU, (ii) tetra-acetyl-L-ribose, TMSOTf, 86%; (b) NH3, MeOH, 98%; (c) pTsOH, H3CC(OMe)2CH3, Acetone, 100%; (d) (i) (tBuO)2PN(iPr)2, 5-Ph-1H-tetrazole, DCM (ii) H2O2, Et3N, 80%; (e) TBAF.3H2O, AcOH, 100%; (f) PSS, TPS-Cl, 5-Ph-1H-tetrazole, pyridine, 100%; (g) 50% TFA (aq.), 100%; (h) 0.1 M NaOH-dioxane. (i) I2, 3 Å MS, pyridine, 21%.