Figure 10
From: A Prognostic 5-lncRNA Expression Signature for Head and Neck Squamous Cell Carcinoma

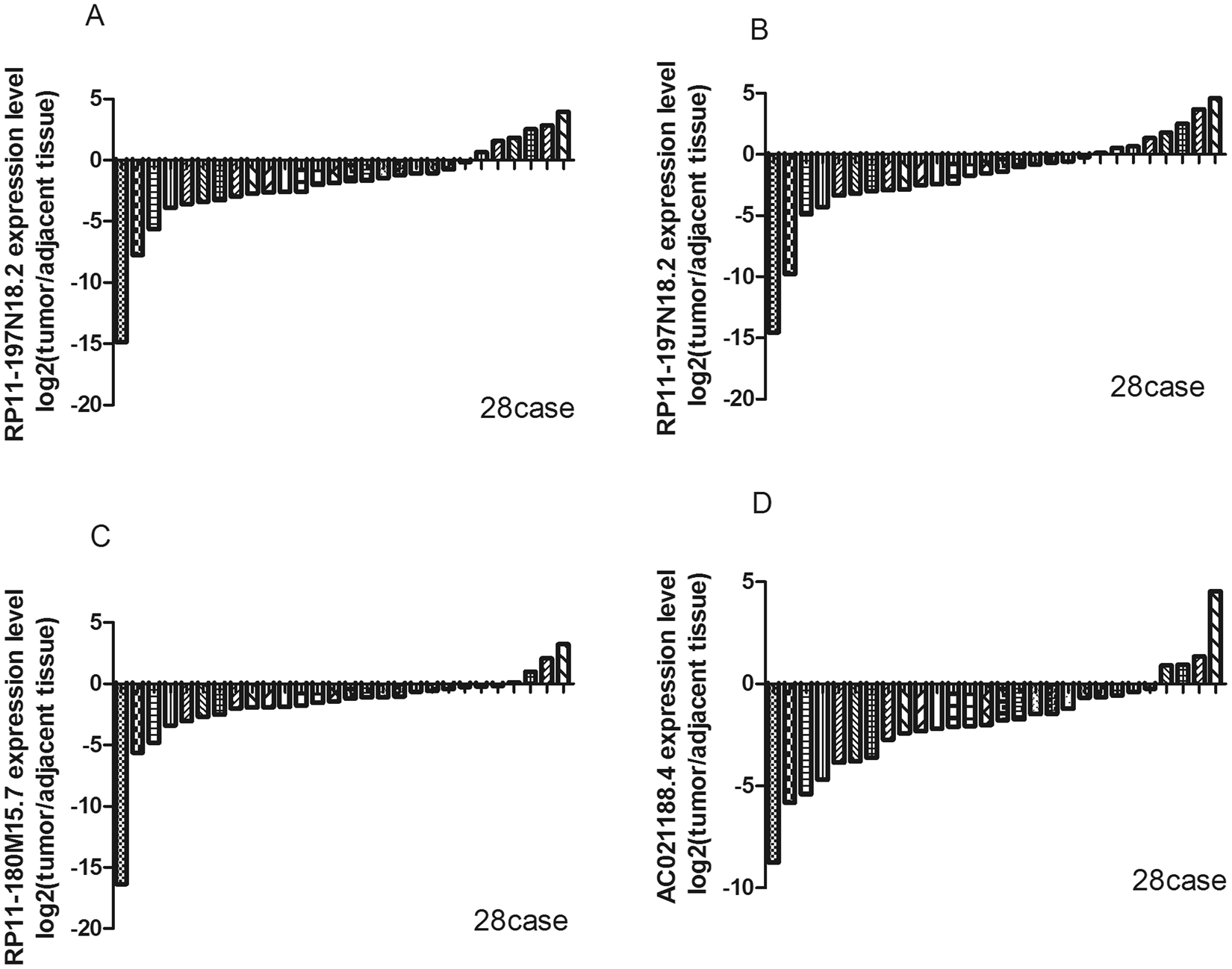
Relative expression levels of four signature lncRNAs in head and neck tumours and adjacent tissues. The relative expression levels of four signature lncRNAs in 28 pairs of head and neck tumours and adjacent tissues. (A) The expression level of RP11-197N18.2,it is was down-regulated in tumours in 22 cases; (B) The expression level of RP11-474D1.3 was down-regulated in tumours in 21 cases; (C) The expression level of RP11-180M15.7 was down-regulated in tumours in 24 cases; (D) The expression level of AC021188.4 was down-regulated in tumours in 24 cases. The four signature lncRNAs were significantly down-regulated in tumours compared with the adjacent tissue.