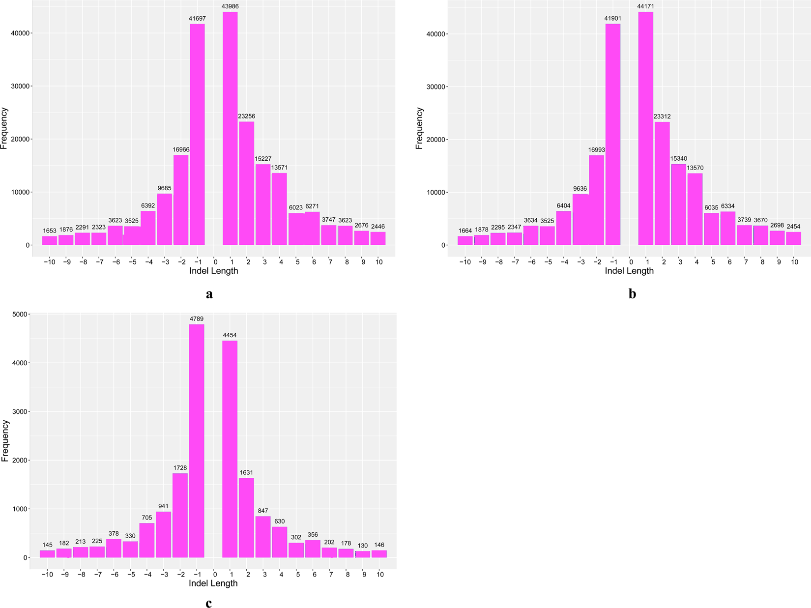
Figure 1

The lengths and corresponding frequency of indels among reference genome sequence of poplar, JHP and CHP. (a) Shows the lengths and corresponding frequency of indels between reference genome sequence of poplar and CHP genome sequence; (b) shows the lengths and corresponding frequency of indels between reference genome sequence of poplar and JHP genome sequence; (c) shows the lengths and corresponding frequency of indels between JHP and CHP genome sequence.