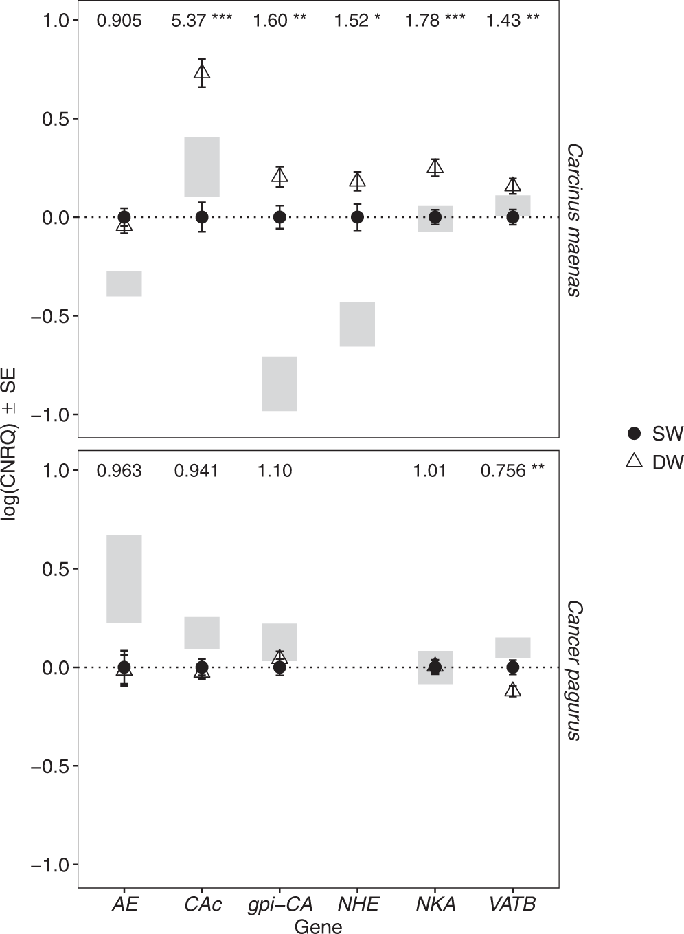
Figure 2

Expression of selected genes as a function of salinity. Gene expression under control (SW, closed circles) and dilute seawater (DW, open triangles) salinity across all time points and pCO2 treatments. Gene expression values scaled relative to values in the control salinity treatment. Numbers at the top of the plots represent the proportional change in expression between control and low salinity. Asterisks represent the significance of these difference from t-tests, where P = 0.05–0.01 (*), 0.01–0.001 (**) and <0.001 (***). Shaded areas represent the spread (SE) of expression values at the end of acclimation period and prior to the start of the experiment. For Carcinus maenas, n = 62 for SW and for DW crabs. For Cancer pagurus, n = 64 for SW, and n = 61 for DW.