Figure 2
From: 3D printed dielectric ceramic without a sintering stage

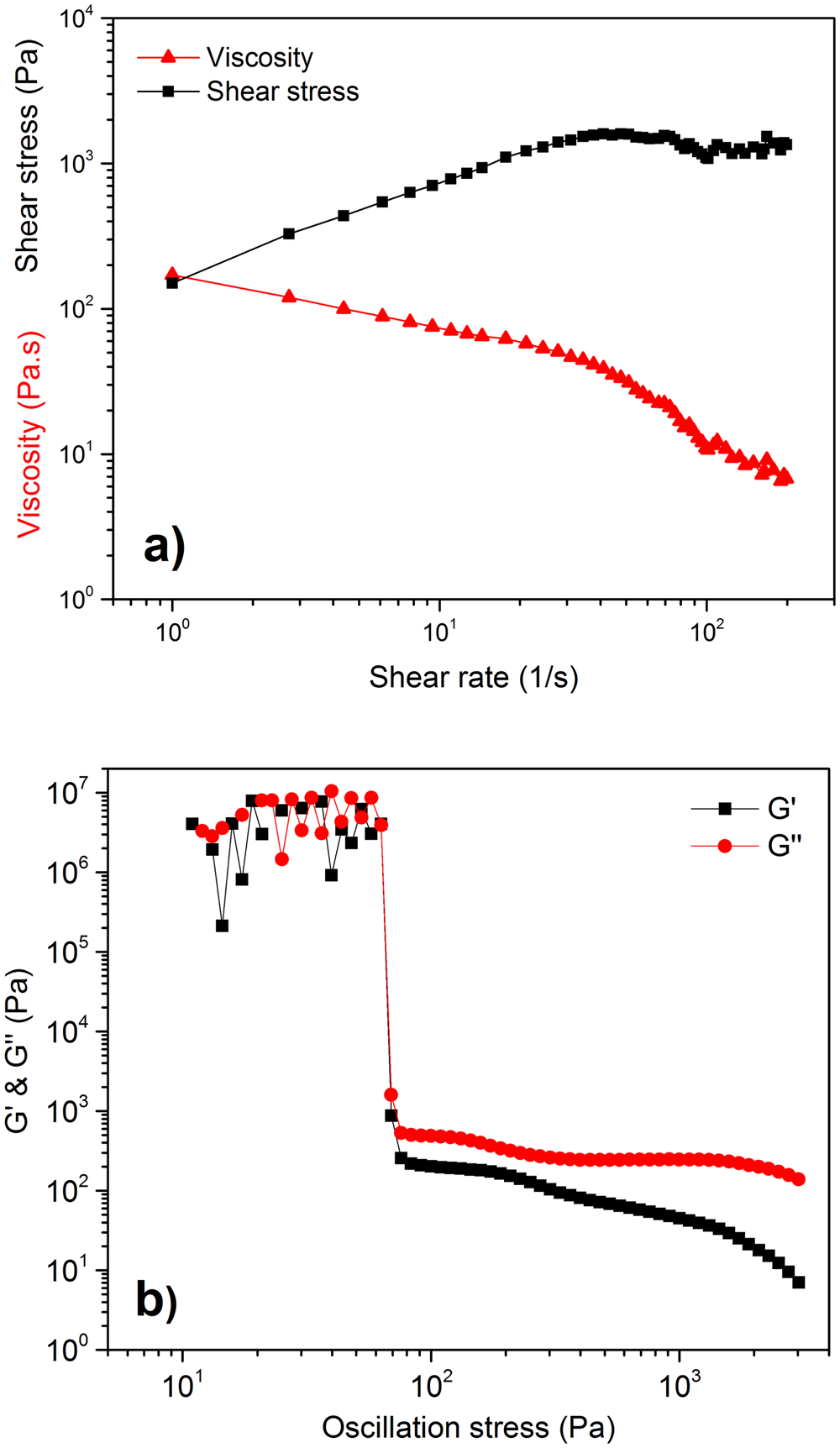
(a) Rheological behaviour of the paste showing shear-thinning behaviour, and (b) dynamic mechanical analysis at 1 Hz showing the yield point of 63.1 Pa.
From: 3D printed dielectric ceramic without a sintering stage

(a) Rheological behaviour of the paste showing shear-thinning behaviour, and (b) dynamic mechanical analysis at 1 Hz showing the yield point of 63.1 Pa.