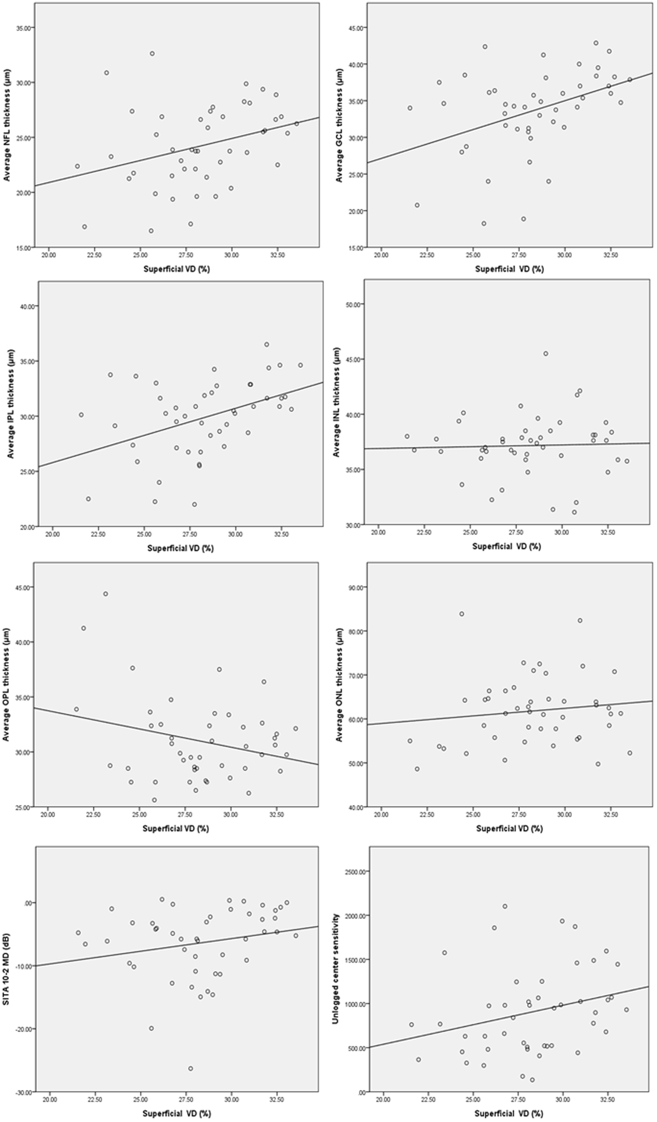
Figure 2

Correlations between superficial macular VD and macular structures or central visual function are shown in scatter plots. Superficial VD versus macular average NFL, GCL, IPL, INL, OPL and ONL thicknesses, MD of SITA 10-2 and unlogged center sensitivity of SITA 24-2. Pearson correlation analysis was used.