Figure 3
From: Genetic variation determines VEGF-A plasma levels in cancer patients

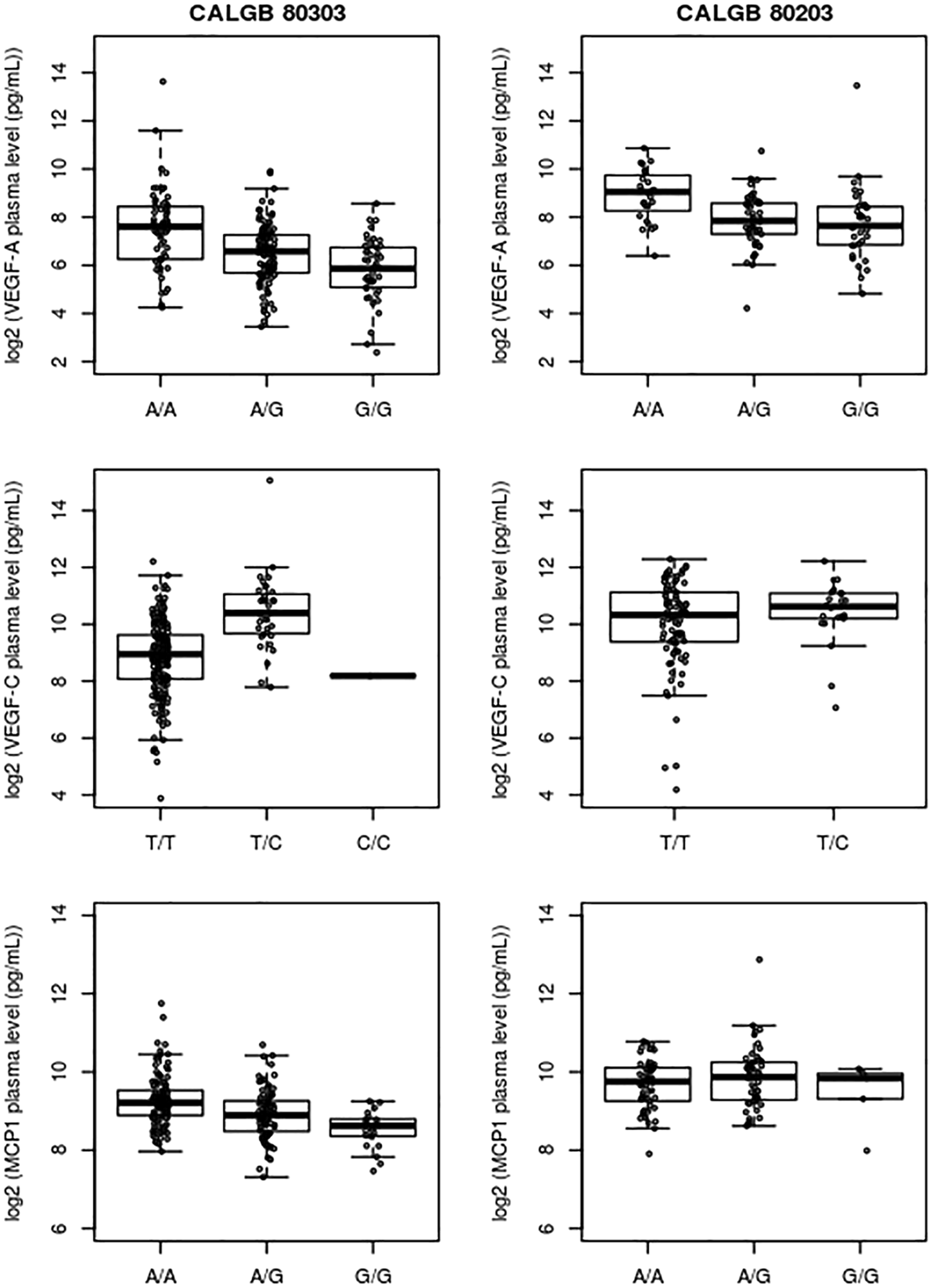
Associations between rs2284284 and MCP1 levels, rs7504372 and VEGF-C levels, and rs7767396 and VEFG-A levels in both CALGB 80303 and 80203. Boxes represent 25th (Q1) and 75th (Q3) percentiles; Horizontal lines indicate the medians; Upper whiskers indicate min(max(x), Q3 + 1.5 * IQR); Lower whiskers indicate max(min(x), Q1–1.5 * IQR). Points indicate observations.