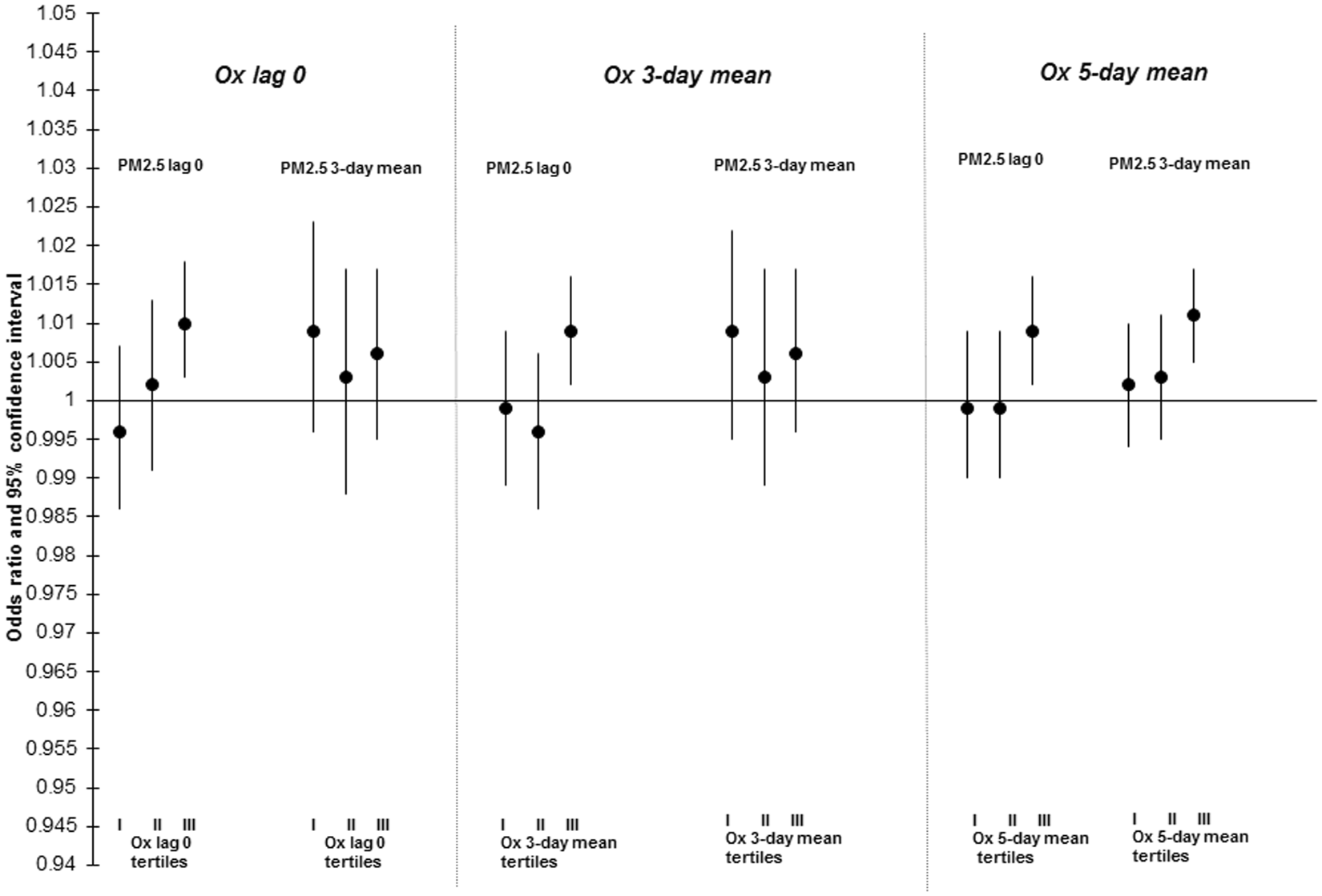
Figure 3

Odds ratios (ORs)1 and 95% CIs for associations between lag 0 and 3-day mean PM2.5 and cardiovascular mortality across tertiles (I, II, III) of same day, 3-day mean, and 5-day mean Ox in 24 cities across Canada (1998–2011). ORs reflect a 6.63 µg/m3 change in PM2.5. All models are adjusted for 3-day mean ambient temperature (cubic splines) and relative humidity.