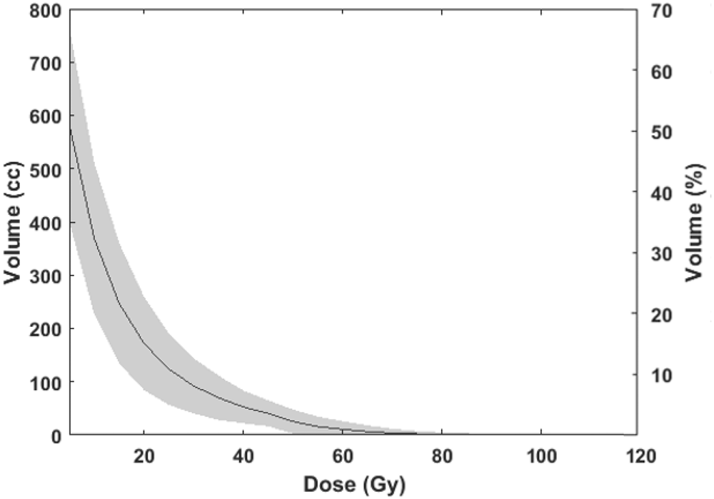
Figure 3

Cumulative dose-volume histogram of normal liver after two sessions of stereotactic body radiation therapy (mean ± standard deviation).

Cumulative dose-volume histogram of normal liver after two sessions of stereotactic body radiation therapy (mean ± standard deviation).