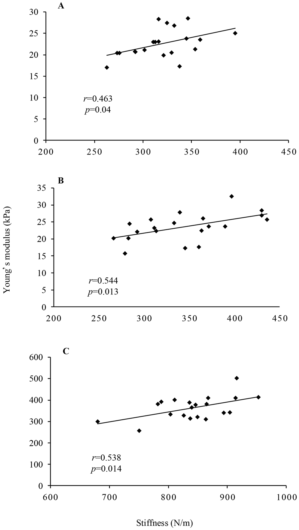
Figure 3

Correlations between stiffness and the Young’s modulus of muscle and tendon obtained from MyotonPRO and SWUE, respectively. (A) The medial gastrocnemius muscle; (B) the lateral gastrocnemius muscle; (C) the Achilles tendon.

Correlations between stiffness and the Young’s modulus of muscle and tendon obtained from MyotonPRO and SWUE, respectively. (A) The medial gastrocnemius muscle; (B) the lateral gastrocnemius muscle; (C) the Achilles tendon.