Figure 1
From: The thickness-induced magneto-transport and optic properties enhancement in Sb2Te3 flakes

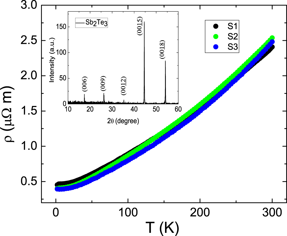
The temperature dependent resistivity of three flakes with different thicknesses. These flakes show the same resistivity and temperature dependence from 300 K to 4 K. The residual resistance ratio is 0.18 ± 0.02. The inset shows the XRD spectrum of the crystal and it is consistent with the Sb2Te3 database. These sharp diffraction peaks support the Sb2Te3 is highly crystalline.