Figure 3
From: The thickness-induced magneto-transport and optic properties enhancement in Sb2Te3 flakes

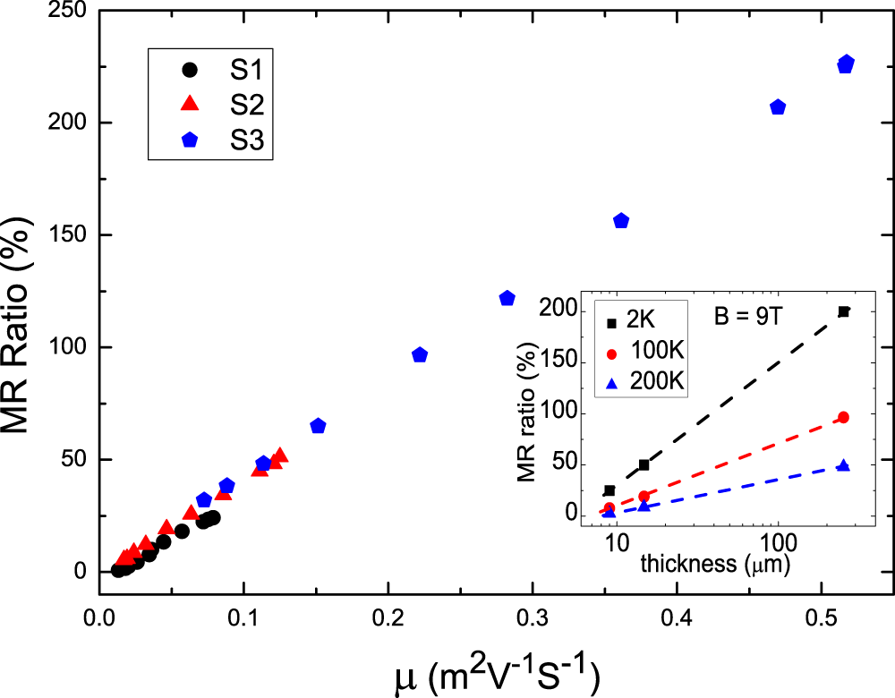
The MR ratio as a function of effective carrier mobility. The MR ratio ranges from 0.74% to 225%, and the mobility ranges from 0.004 to 0.55. The MR ratio and mobility spread over 2 orders. It reveals that the MR ratio is proportional to the effective carrier mobility. The inset shows the MR ratio as a function of the flake thickness. It reveals that the MR ratio is approximately proportional to the thickness in the logarithm plot.