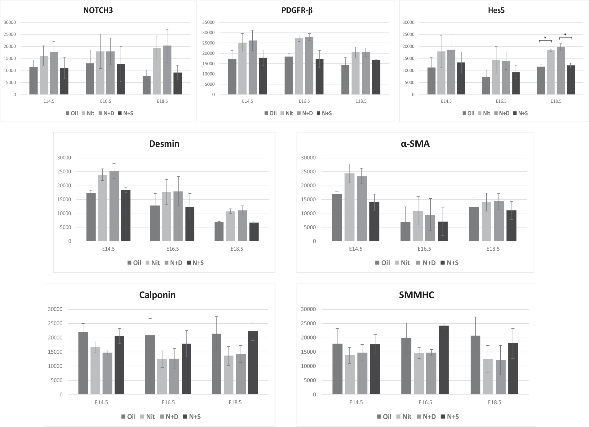
Figure 8

Quantification of western blots of various markers of vSMC differentiation in oil, nitrofen, nitrofen plus IA dextrose and nitrofen plus IA sildenafil groups. Data are mean ± SEM of band density. Data were analyzed using One-Way ANOVA with post-hoc Tukey HSD test. Significant p values are shown (*p < 0.05).