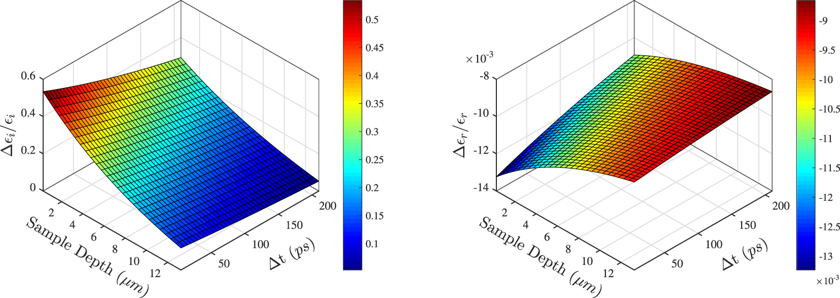
Figure 3

Fractional change of the imaginary, Δεi/εi (left panel), and real, Δεr/εr (right panel), parts of the effective dielectric constant as a function of the sample depth and delay time, Δt.

Fractional change of the imaginary, Δεi/εi (left panel), and real, Δεr/εr (right panel), parts of the effective dielectric constant as a function of the sample depth and delay time, Δt.