Figure 3
From: The efficacy of serum cell death biomarkers for diagnosing biliary tract cancer

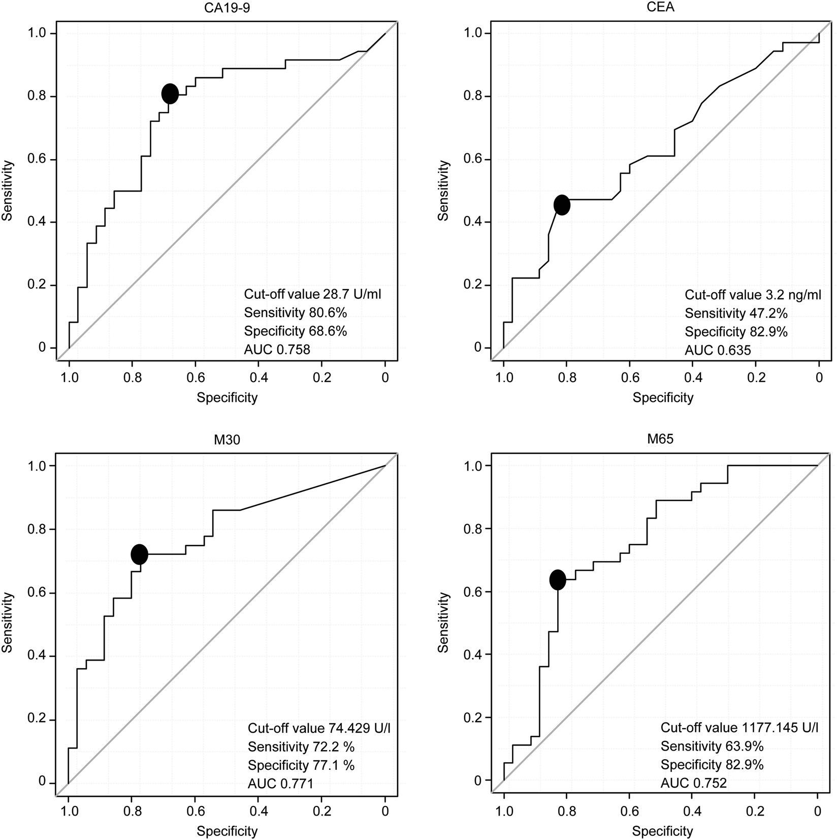
Comparison of four biomarkers for diagnosing biliary tract cancer. AUC, area under the curve. Receiver operating characteristic curves of four markers for 71 patients (36: Malignant group, 35: Benign group). The cut-off values, sensitivity, and specificity of M30 for diagnosing biliary tract cancer were 74.429 U/l, 72.2%, and 77.1%, respectively. The AUC (0.771) of M30 was the highest of the four markers.