Figure 3
From: Temperature Dependence of Hourly, Daily, and Event-based Precipitation Extremes Over China

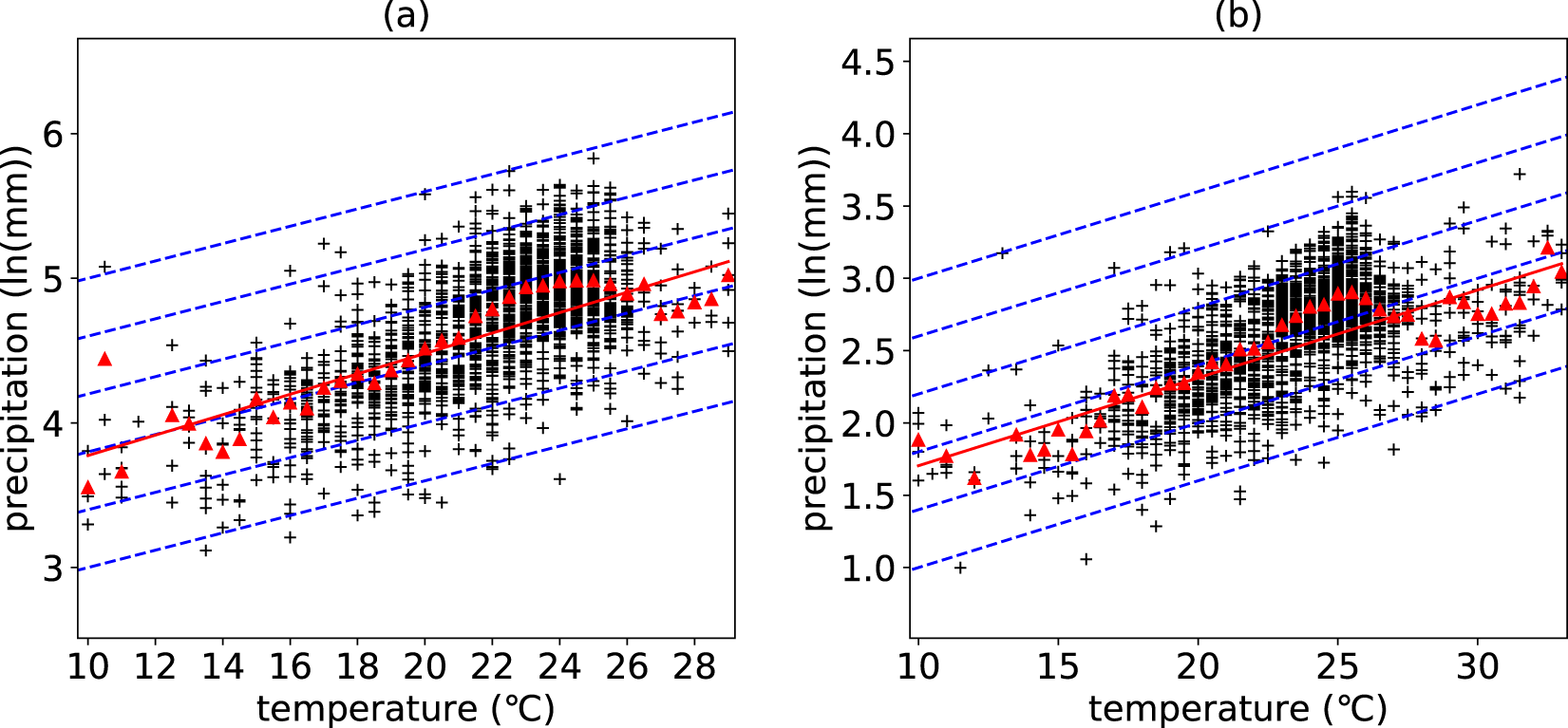
Relationship between peak points of daily temporal scale (a) and hourly temporal scale (b) across China. The figure shows the relationship between peak-point precipitation extremes and peak-point temperature at two temporal scales (daily (a) and hourly (b)). The red triangles represent the average peak-point extreme precipitation of corresponding temperature bins; The red line is the regression line of the relationship between the average peak-point extreme precipitation and the corresponding temperature; The dashed blue line represents the C-C relationship (6%/°C)).