Figure 7
From: Temperature Dependence of Hourly, Daily, and Event-based Precipitation Extremes Over China

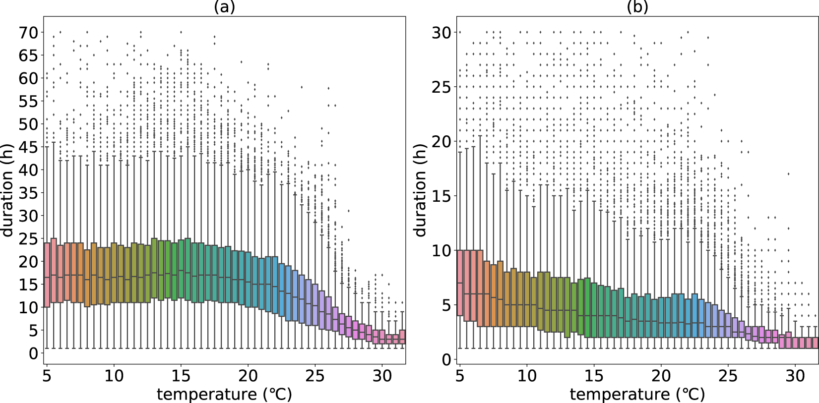
Temperature dependence of durations of PAE (a) and PIE (b). The figure shows the relationship between PAE durations and temperature (a) and the relationship between PIE durations and temperature (b). The boxes indicate the 25th, 50th, and 75th percentiles of the distribution, and the vertical lines indicate the 5th and 95th percentiles.