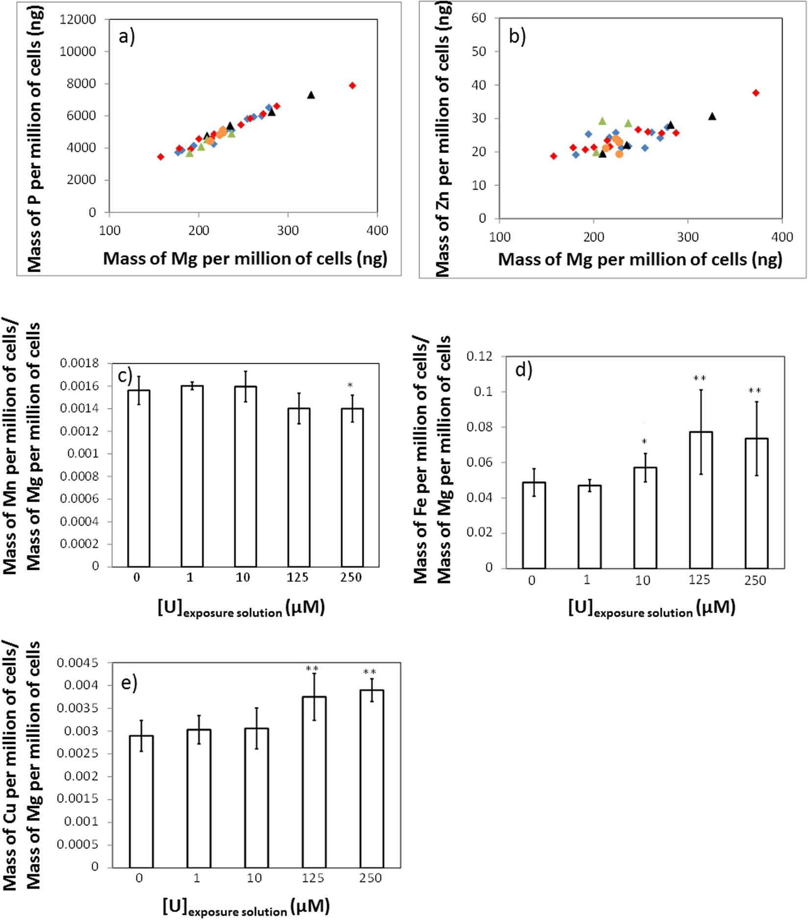
Figure 1

Correlation between the mass of element per million of cells for P and Mg (a) and for Zn and Mg (b) for individual cell samples exposed to U concentrations of 0 µM (blue diamonds), 1 µM (black triangles), 10 µM (red diamonds), 125 µM (green triangles) and 250 µM (orange circles). (c–e) show the average values of the mass of element per million of cells relative to the mass of Mg per million of cells in cell samples exposed to U concentrations of 0, 1, 10, 125, and 250 µM for Mn (c), Fe (d), and Cu (e). Error bars correspond to the standard deviation of 12, 4, 14, 5 and 5 replicates for cell samples exposed to 0, 1, 10, 125, and 250 µM of U, respectively. The results showing a significant difference with regard to cell samples exposed to 0 µM of U, according to a non-parametric Mann-Whitney test, are shown: *(P < 0.05); **(P < 0.01).