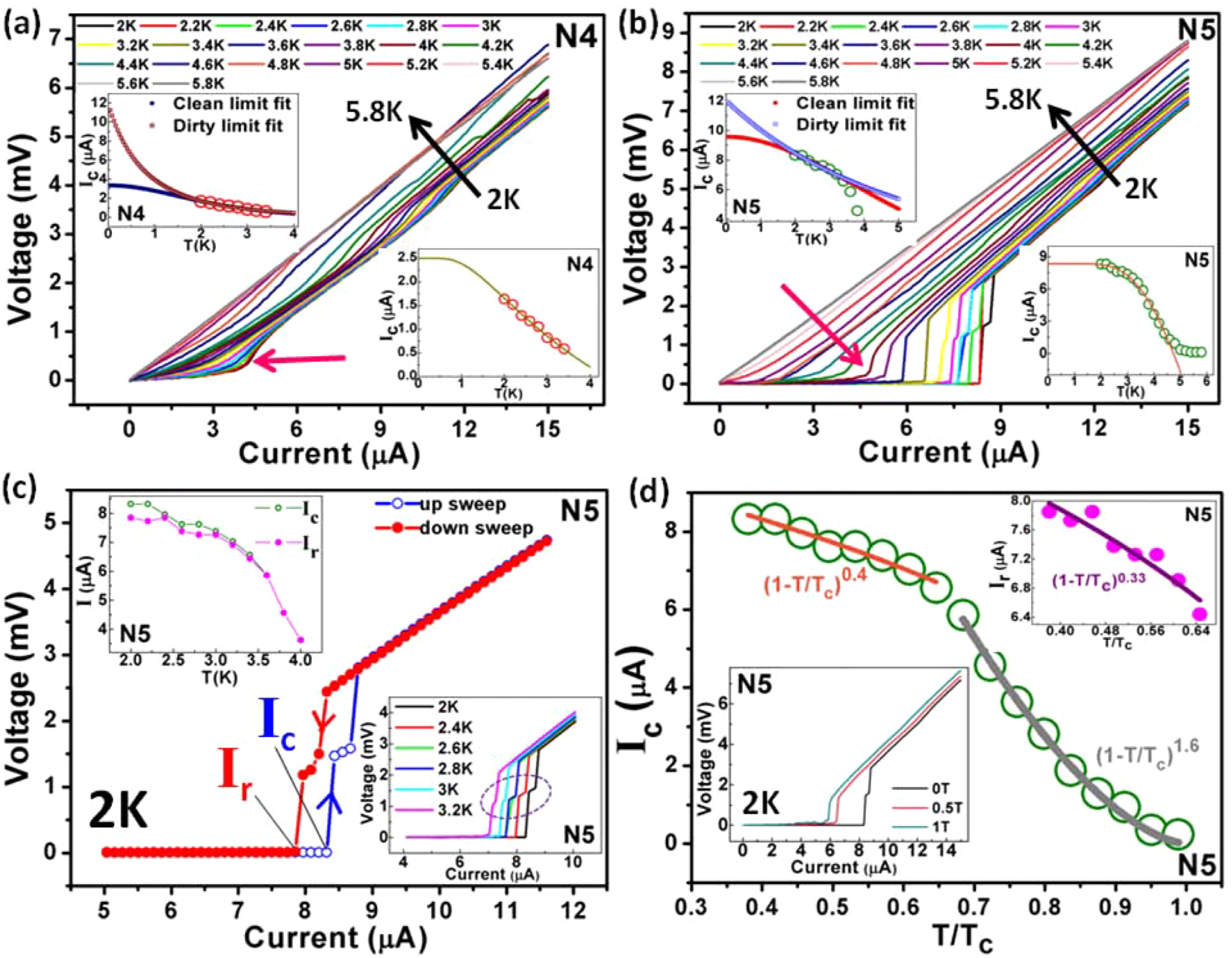
Figure 3

Supercurrent analysis using current versus voltage (IV) characteristics. (a) IV curves for device N4 show a clear foot-like (pink coloured arrow) superconducting transition. Upper inset depicts the extrapolated clean and dirty limit fits to Eq. (6). Lower inset shows the fit to Eq. (8), which gives information about the characteristic energy scale of the system. (b) IV curves for N5 depicting a sharp supercurrent transition till 3.6 K, above which foot-like transition (pink coloured arrow) starts to appear. At temperatures above Tc, a linear ohmic IV is observed. Upper and lower inset shows the fits to Eqs (6) and (8), respectively, where the fit starts to deviate from experimental data near Tc. (c) Hysteresis in device N5 at 2 K during up and down sweeps of current. Upper inset shows the small hysteresis persisting till 3.4 K, above which Ir and Ic merge. Lower inset highlights (dotted purple circle) the observed phase slip voltage step for 2 K < T < 3.2 K in device N5. (d) Ic~(1−T/Tc)n fits at two temperature regimes, T < 3.4 K and T > 3.4 K, for N5. Upper inset shows similar fit for Ir. Lower inset depicts the decrease in Ic with increasing B-field for N5.