Figure 1

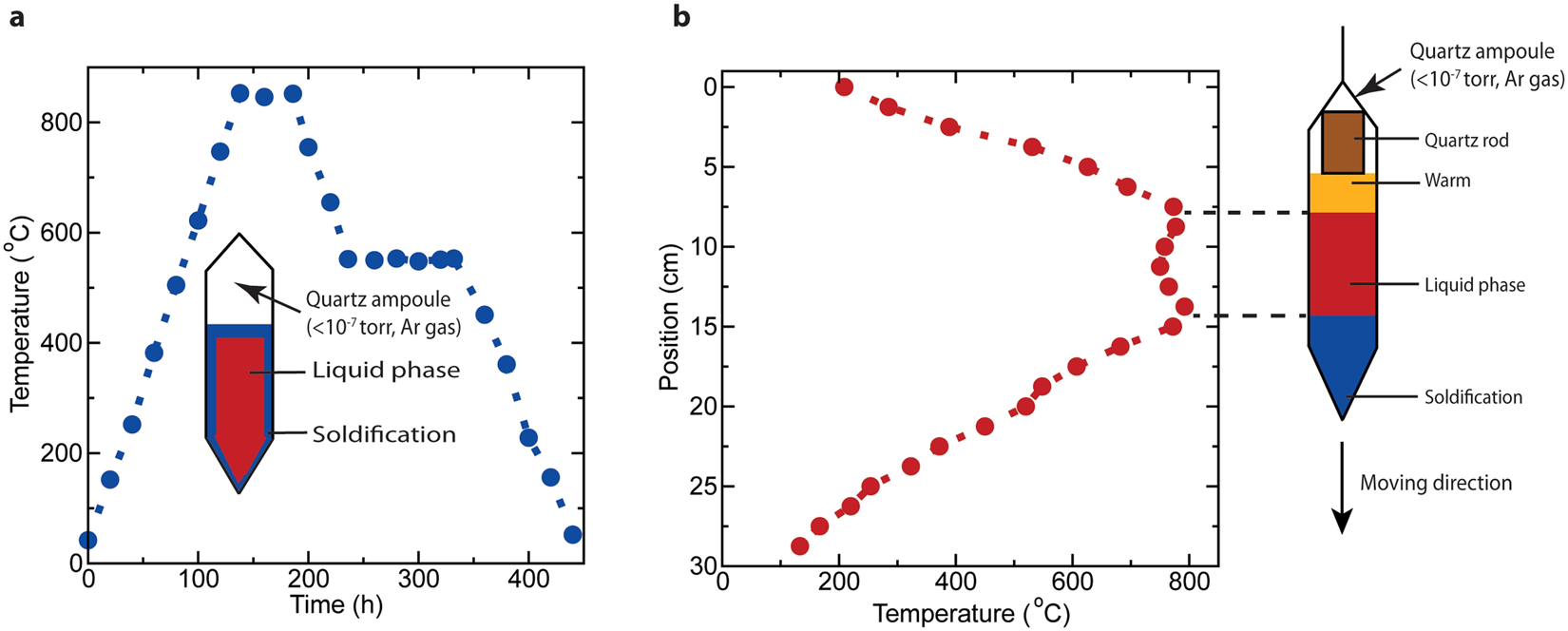
The measured temperature profiles of the melting (a) and vertical Bridgman (b) furnaces. The schematics of ampoules in (a,b) illustrate the crystal growth mechanism for the respective methods.

The measured temperature profiles of the melting (a) and vertical Bridgman (b) furnaces. The schematics of ampoules in (a,b) illustrate the crystal growth mechanism for the respective methods.