Figure 2
From: Analysis of the effect of PM10 on hand, foot and mouth disease in a basin terrain city

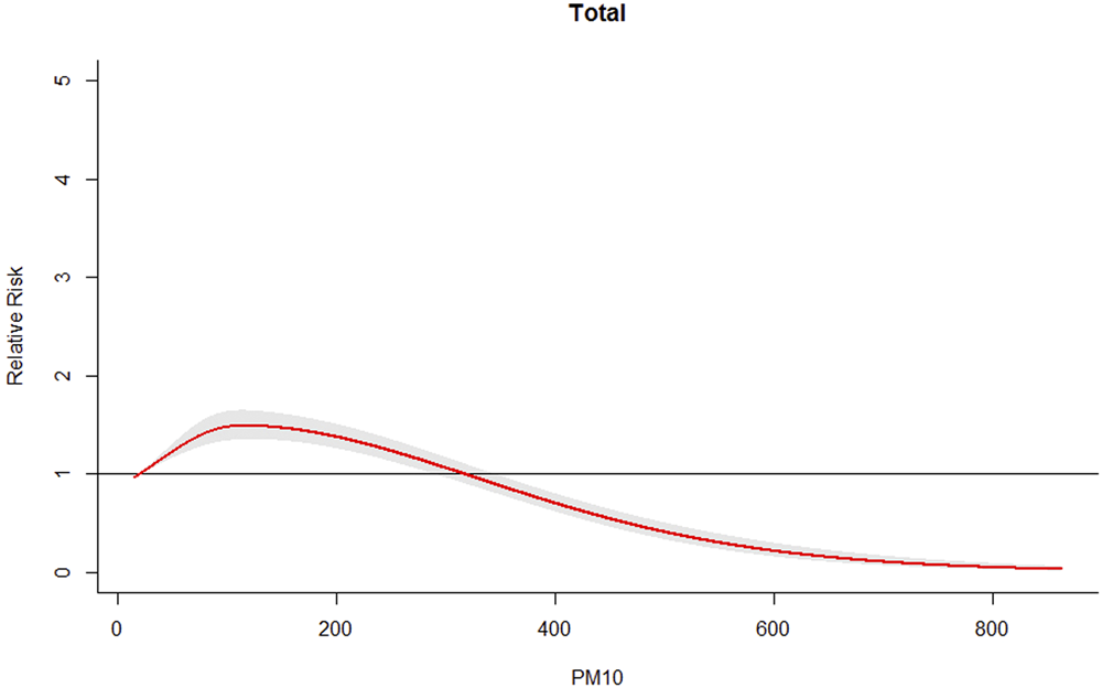
Cumulative RRs of PM10 for total HFMD cases.
From: Analysis of the effect of PM10 on hand, foot and mouth disease in a basin terrain city

Cumulative RRs of PM10 for total HFMD cases.