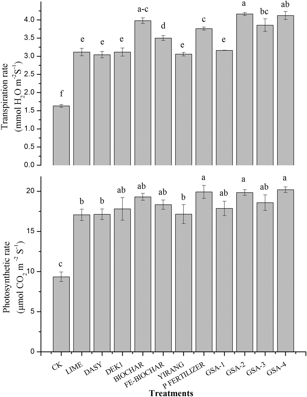
Figure 5
From: Immobilization of cadmium and lead in contaminated paddy field using inorganic and organic additives

Effect of application of different amendments on leaf photosynthesis (μmol CO2 m−2 S−1) and transpiration rate (mmol H2O m−2 S−1) in rice. Bars with different letters represent significant difference among treatments. All values are average of 3 repeats (n = 3).