Figure 3
From: Inference of Large-scale Time-delayed Gene Regulatory Network with Parallel MapReduce Cloud Platform

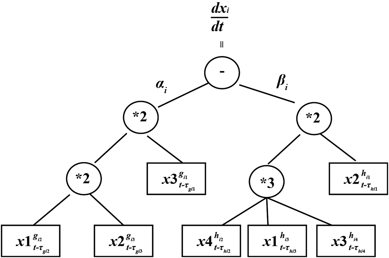
The expression tree of a RGEP chromosome with the parameters.
From: Inference of Large-scale Time-delayed Gene Regulatory Network with Parallel MapReduce Cloud Platform

The expression tree of a RGEP chromosome with the parameters.