Figure 4
From: Non-universality of the dynamic exponent in two-dimensional random media

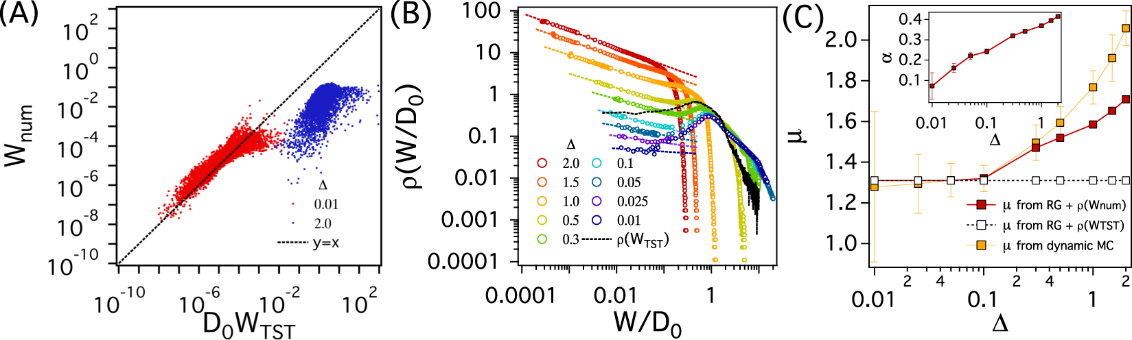
(A) Comparison of Wnum with WTST of individual pores for Δ = 0.01 (red points) and 0.2 (blue points). The black dashed linear line is drawn as a guide. (B) The distribution function (ρ(Wnum)) estimated numerically for various values of Δ. ρ(Wnum) for various Δ follows a power law relation, i.e., ρ(W) ~ W−α for small W region (the colored dashed lines). The black dotted line represents ρ(WTST) in Fig. 3(B) Simulation results for ρ(W) for various values of Δ are depicted in Fig. S3 in the supplementary information. (C) Comparison of values of μ obtained from dynamic MC (yellow) and renormalization group theory along with ρ(Wnum) (red). In the inset are values of α obtained from ρ(Wnum).