Figure 6
From: Fermi surface topology in a metallic phase of VO2 thin films grown on TiO2(001) substrates

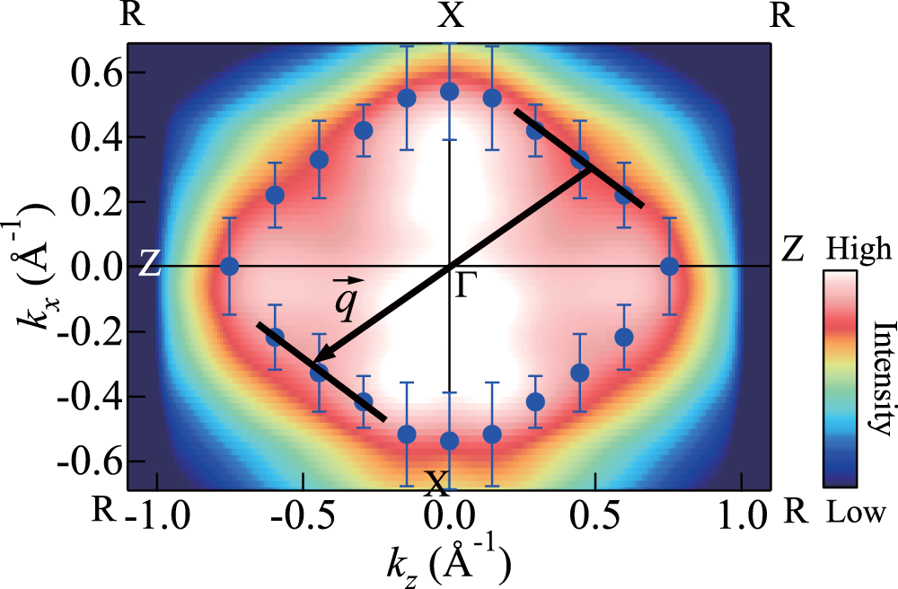
FS mapping in ΓXRZ plane for metallic phase of VO2 thin films. The kFs of band 1 (closed blue circles) are superimposed on the figure. The error bars of kFs are determined from the peak positions where the fitting results do not reproduce the experimental data well (see Supplementary Fig. S2). The band-1 FS topology exhibits flat portions (solid lines). An arrow indicates the nesting vector \(\overrightarrow{q}\) = ΓR.