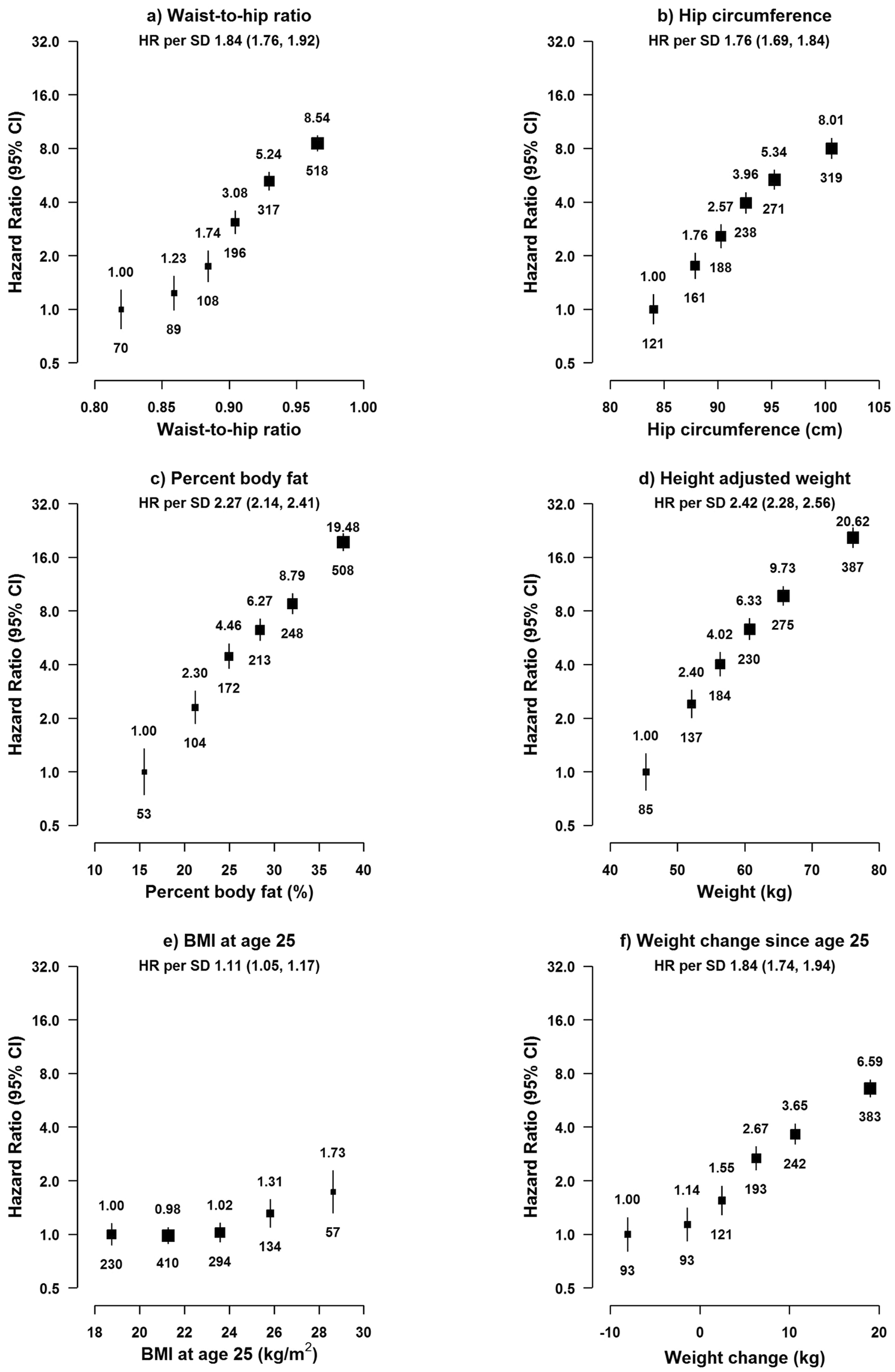
Figure 3

Adjusted HRs for NAFLD by usual level of other adiposity traits. Adiposity traits are modelled as sextiles and HRs are plotted against the mean level in each group. All adiposity traits are usual levels, except for BMI at age 25 and weight change since age 25. BMI at age 25 is missing in 81,409 participants. Log-scale is used for the y-axis. The squares represent HRs, and the vertical lines represent 95% CIs. The area of the squares is inversely proportional to the variance of the log HRs. Numerical values above the 95%CI represent the hazard ratio and values beneath the 95% CI represent the number of cases of NAFLD in each group. The analyses are stratified by sex, region, and HBsAg, and adjusted for age at baseline, education, smoking, alcohol, and physical activity. SD was 0.06 for WHR, 6.9 cm for HC, 8.4% for %BF, 10.8 kg for weight, 2.6 kg/m2 for BMI25, and 9.1 kg for weight change since age 25. HR per 1-SD was corrected for regression dilution (regression dilution ratio: WHR = 0.70, HC = 0.81, %BF = 0.88, weight = 0.96).