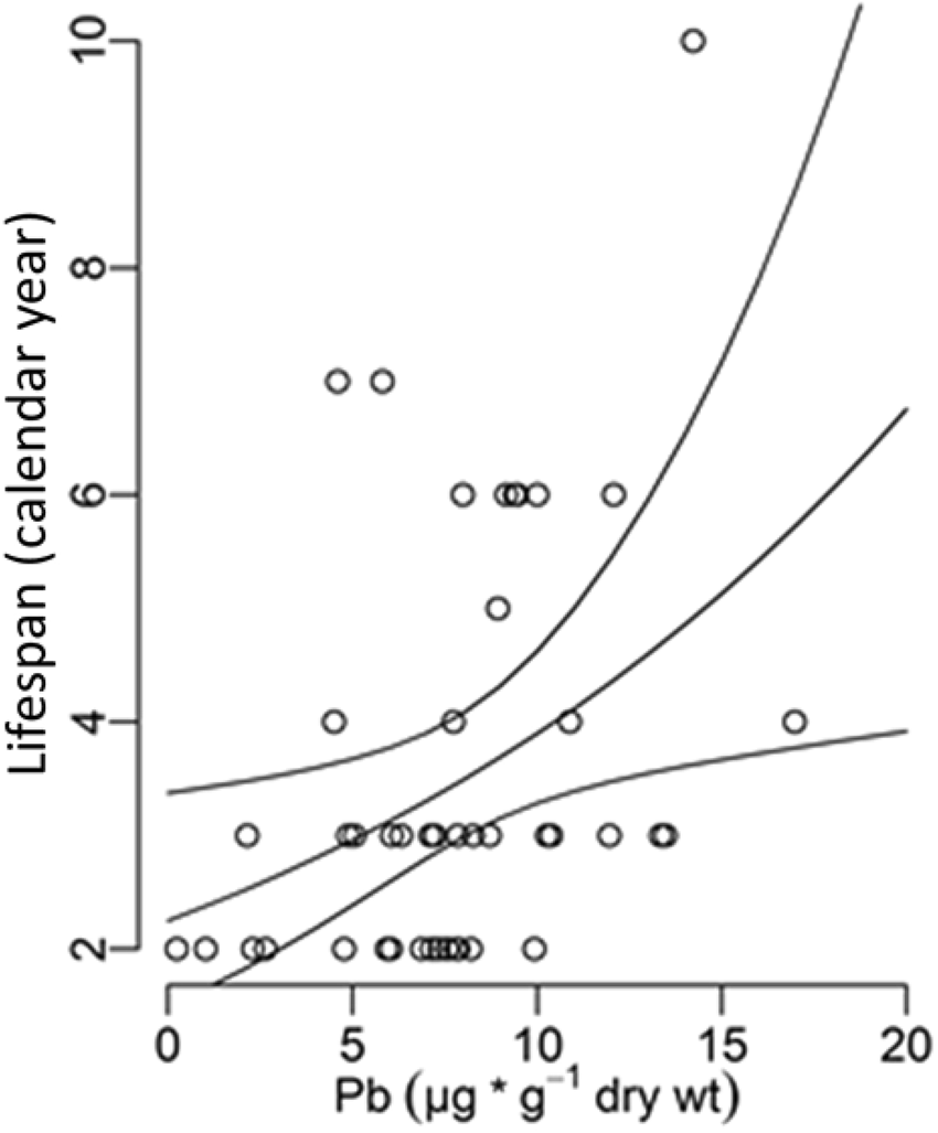
Figure 4

Relation between lifespan of young blackbirds and Pb exposure. Concentration of Pb in tail feathers for young blackbirds in their second year of life, n = 46. The enveloping lines are 95% confidence intervals.

Relation between lifespan of young blackbirds and Pb exposure. Concentration of Pb in tail feathers for young blackbirds in their second year of life, n = 46. The enveloping lines are 95% confidence intervals.