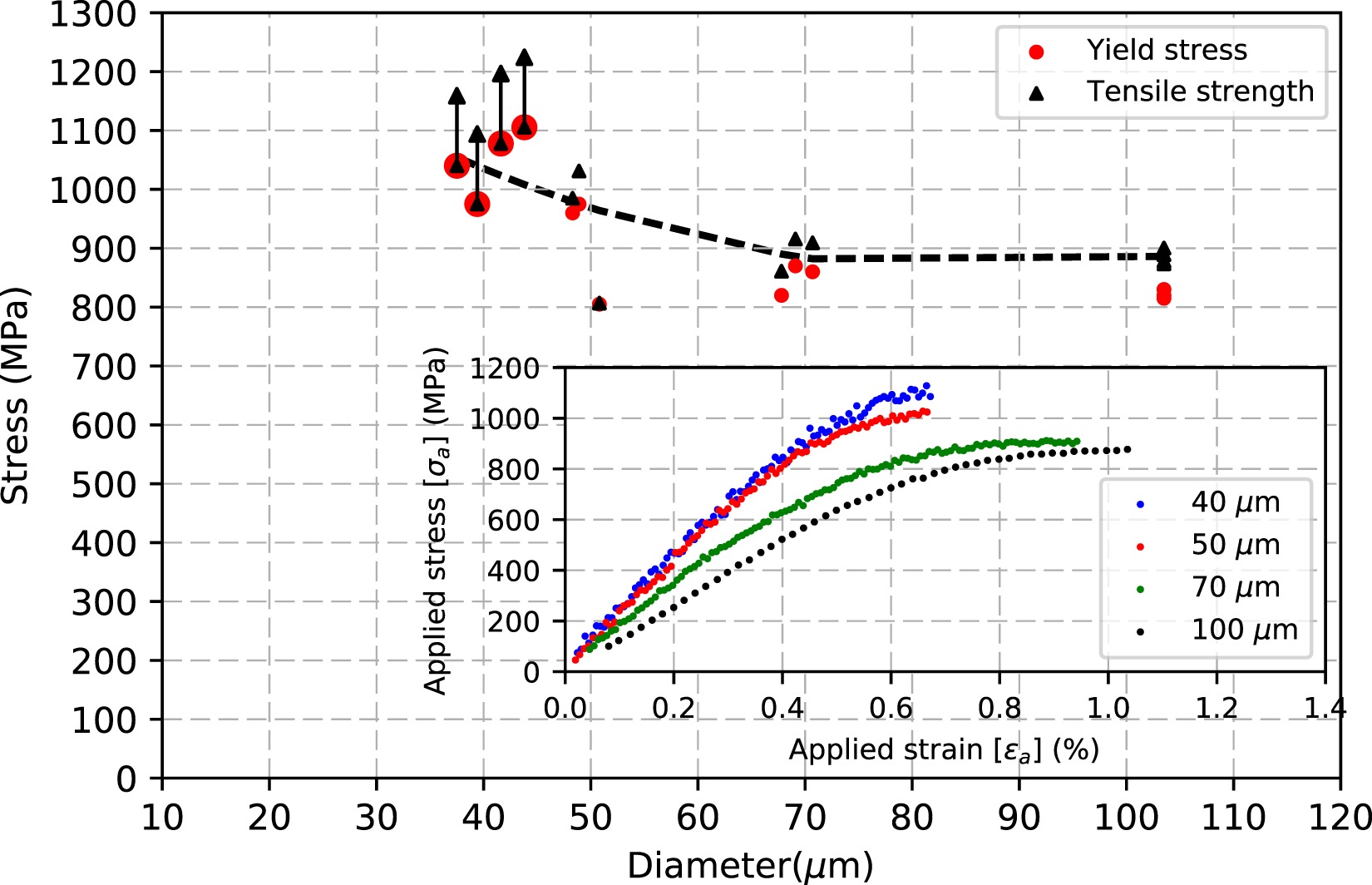
Figure 5

Effect of diameter on yield stress and tensile strength of Ni microwires. Inset corresponds to typical tensile stress-strain curves of AA100, EP70, EP50 and EP40 microwires. The black dashed line serves as a guide to the eye (tensile strength data).