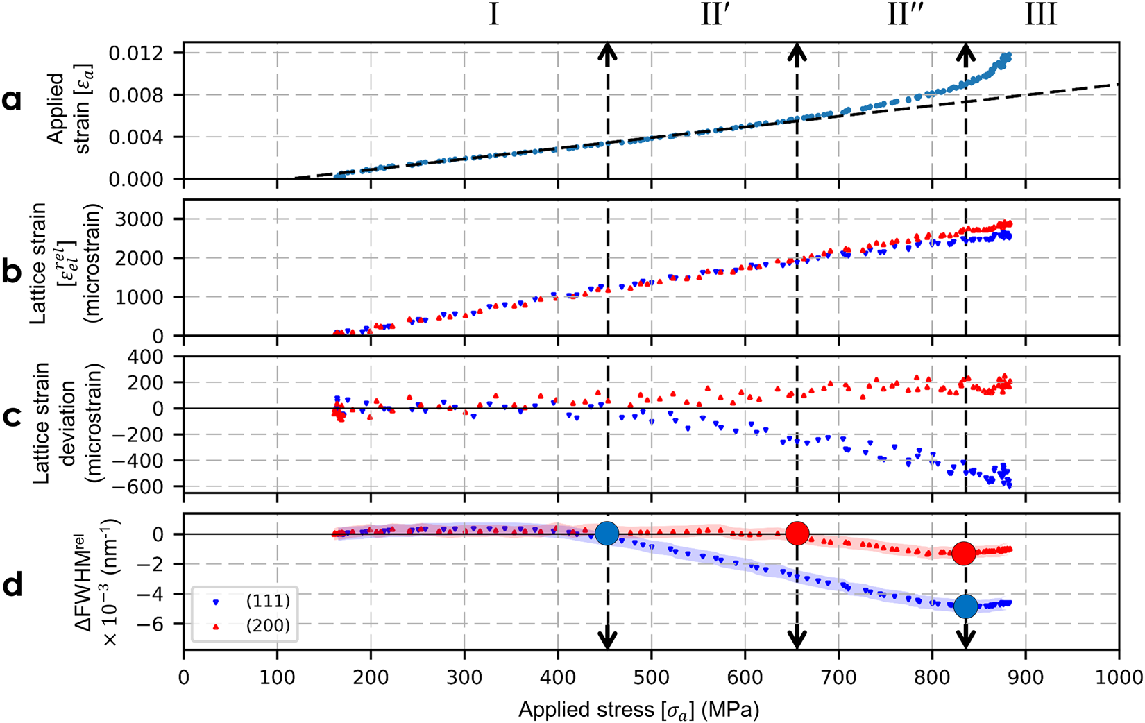
Figure 6

XRD peak analysis of AA100 wire (data points before the onset of necking are only presented). Top plot (a) corresponds to continuous tensile strain-stress data, middle plots (b,c) corresponds to the evolution of axial (111) and (200) elastic lattice strains and their deviation from linearity versus applied stress (linear fits are carried out for data points below 450 MPa), bottom plot (d) corresponds to the evolution of the (111) and (200) Full Width Half Maximum (FWHM) versus applied stress, the shaded zones represent the error bar. The vertical dashed lines in the plots represent different stress levels corresponding to the evolution of FWHM (see text).