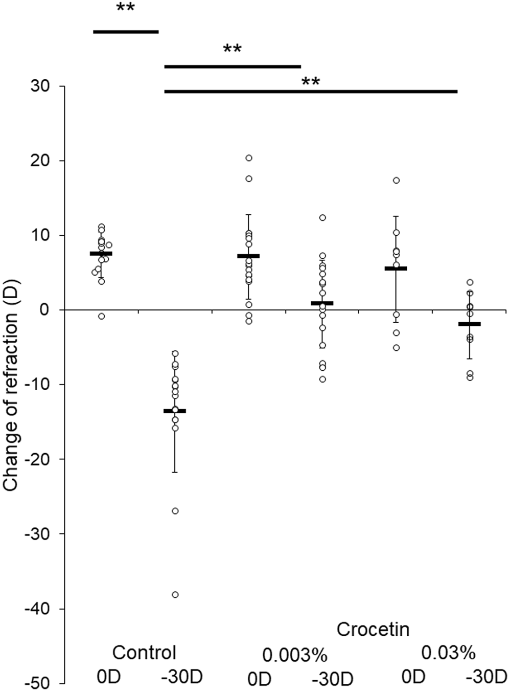
Figure 3

Crocetin suppressed myopic refractive shift in a murine model of lens-induced myopia. Eyes treated with −30 D lenses showed a significantly larger refractive change compared to ones with 0 D in the normal chow-fed animals (p < 0.001). Animals fed with 0.003% crocetin-containing chow showed a significantly smaller refractive change with −30 D lens compared to the same condition in the control (p < 0.001). Animals fed with 0.03% crocetin-containing chow showed a significantly smaller refractive change with −30 D lens compared to the same condition in the control (p < 0.001). The degrees of change of refraction were not significantly different between 0.03% crocetin with −30 D lenses and 0.003% crocetin with −30 D lenses. (p = 0.548). **p < 0.01, Bars represent mean +/− standard deviations.