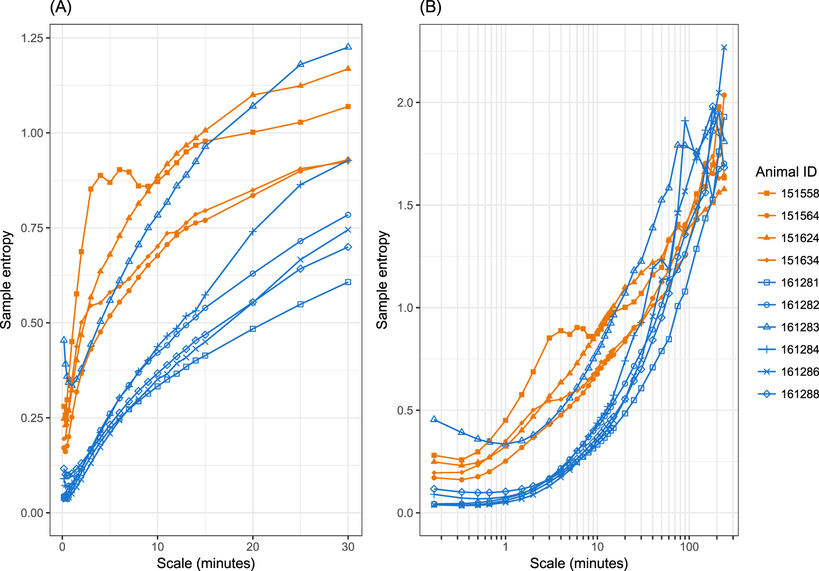
Figure 2
From: Decreased complexity of glucose dynamics in diabetes in rhesus monkeys

MSE curves for glucose for individual animals, using the first five weeks of CGM data. (A) Scale factors up to 30 minutes; (B) Scale factors up to 4 hours (log scale).