Figure 5
From: Decreased complexity of glucose dynamics in diabetes in rhesus monkeys

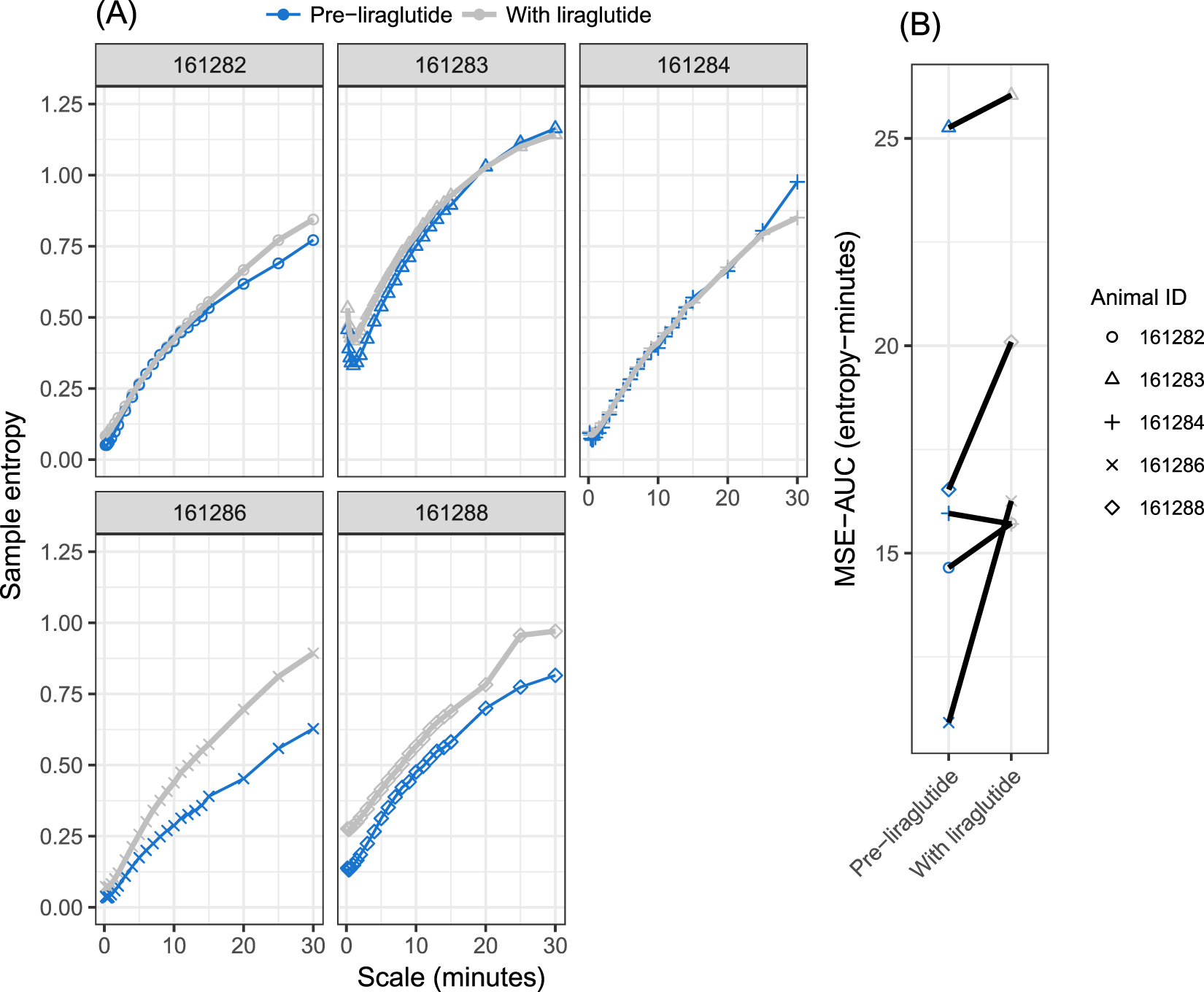
MSE and MSE−AUC before and during liraglutide treatment of diabetic animals. The pre-liraglutide period immediately precedes the liraglutide treatment period and is of the same length (see also Supplementary Table S1). (A) MSE curves; (B) MSE - AUC10s−30m.