Figure 2
From: Scanning the genomes of parents for imprinted loci acting in their un-genotyped progeny

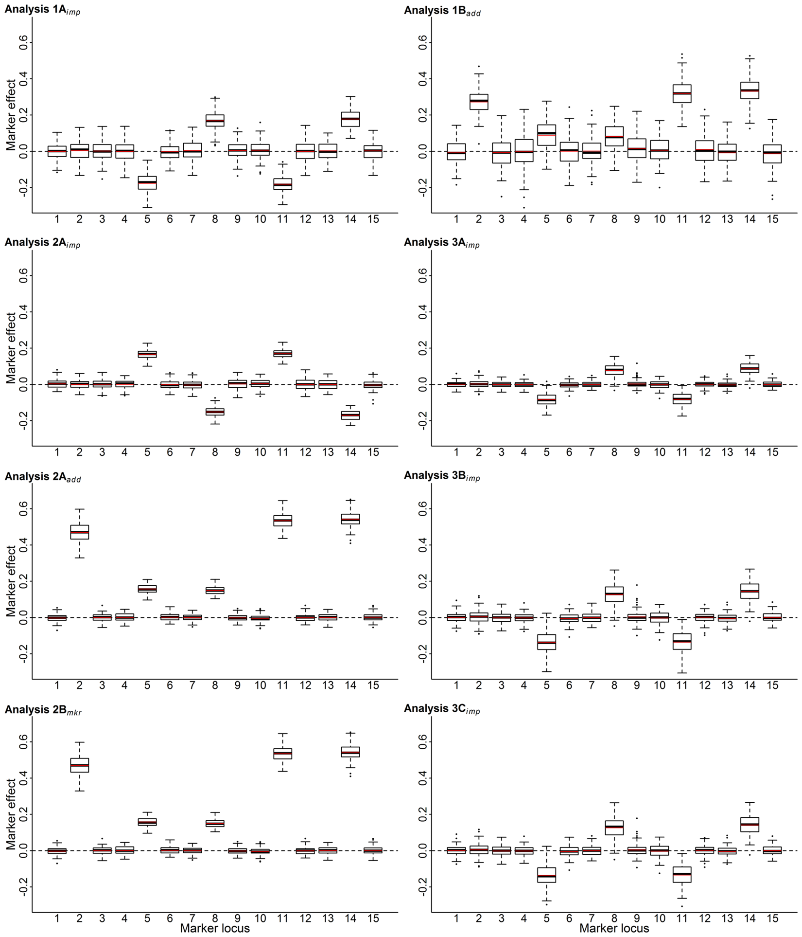
Boxplots of the marker effects and their means (red line) for all analyses and markers linked to quantitative trait loci (QTLs) with biparental (marker 2), paternal (marker 5), maternal (marker 8), partial paternal (marker 11) and partial maternal (marker 14) expression patterns. Subscripts imp and add indicate separate tests related to imprinting, or Mendelian effects, while mkr indicates an unspecified single effect marker test from model 2B. Estimates of the parent’s parent-of-origin effects (1A) and transmitting abilities (1B) were regressed on their un-ordered genotype; phenotypes of offspring were regressed on their own ordered (2A) and un-ordered genotype (2B). Estimated parent-of-origin effects were analysed untreated (3A), deregressed and corrected for parent average (3B), and deregressed, corrected for parent-average and weighted (3C).