Figure 1
From: Learning the Dynamic Treatment Regimes from Medical Registry Data through Deep Q-network

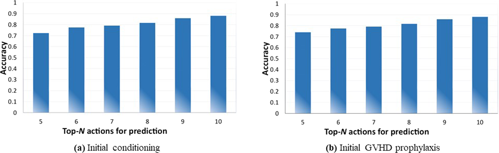
Accuracies on predicting experts’ treatment for initial conditioning and GVHD prophylaxis.
From: Learning the Dynamic Treatment Regimes from Medical Registry Data through Deep Q-network

Accuracies on predicting experts’ treatment for initial conditioning and GVHD prophylaxis.