Figure 2
From: Learning the Dynamic Treatment Regimes from Medical Registry Data through Deep Q-network

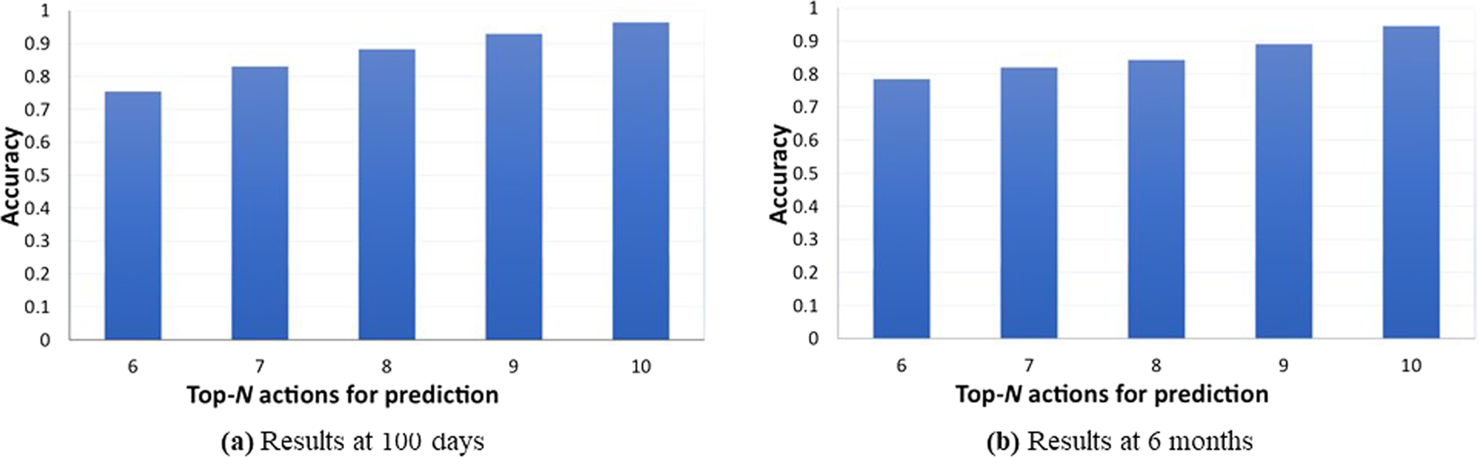
Accuracies on predicting experts’ treatment for acute GVHD.
From: Learning the Dynamic Treatment Regimes from Medical Registry Data through Deep Q-network

Accuracies on predicting experts’ treatment for acute GVHD.