Figure 3

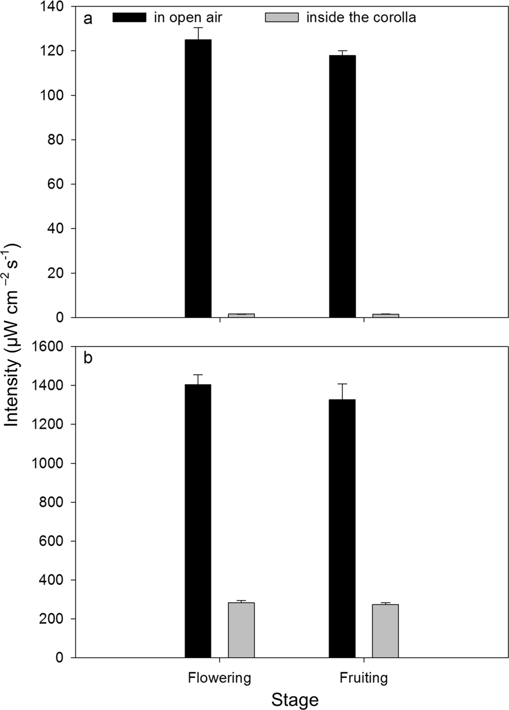
Intensity (mean ± SE) of UV-B radiation (a) and UV-C radiation (b) in open air and inside corolla during flowering and fruiting (n = 10). Analysis of these data is presented in Table 1.

Intensity (mean ± SE) of UV-B radiation (a) and UV-C radiation (b) in open air and inside corolla during flowering and fruiting (n = 10). Analysis of these data is presented in Table 1.