Figure 3
From: Acoustic extraordinary transmission manipulation based on proximity effects of heterojunctions

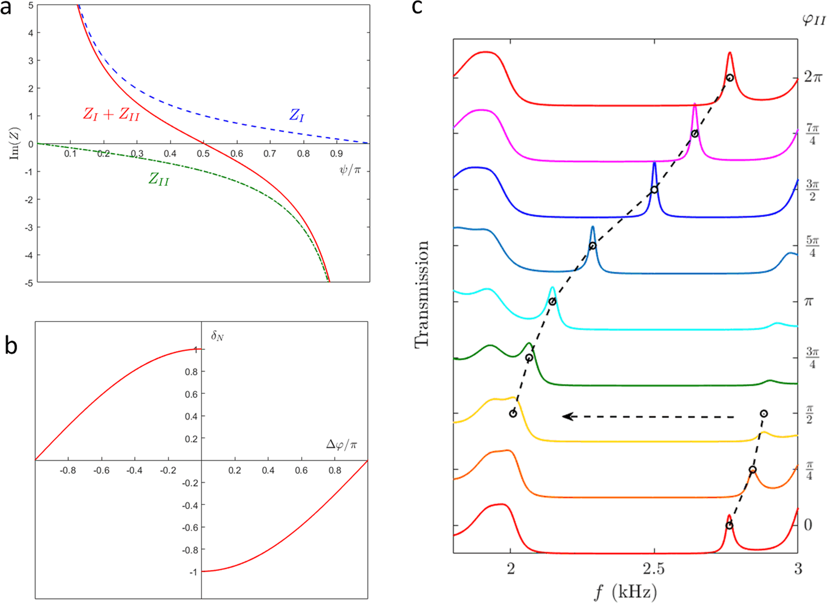
Transparency appearing and disappearing. (a) Acoustic impedance ratio in the forbidden band. The blue dashed and green dash-dot lines denote the reflection impedance ratios at the interfaces of WI and WII, respectively. The red solid line represents their summation and the zero point at ψ = 0.5π indicates the extraordinary transparency appearing. (b) Transparency frequency shift from the Bragg frequency vs the phase difference between WI and WII. The frequency detuning δN is normalized by the half width of the forbidden band. Thus, δN = ±1 indicates that the transmitted peak falls at the edge of the forbidden band and the extraordinary transparency disappears when the phase matching Δφ = 0. Only when the phases mismatch, the frequency falls in the forbidden band and we can observe the extraordinary transparency. (c) Transmission for the waveguides with different junction structures, which are formed by changing the phase of WII φΙΙ and fixing that of WI φΙ at π/2. The circles connected by the dashed lines indicate the peak frequency of the transparency shifting to the high frequency when increasing φΙΙ and a frequency jump arising when the phases match at φΙΙ = φΙ = π/2.