Figure 6

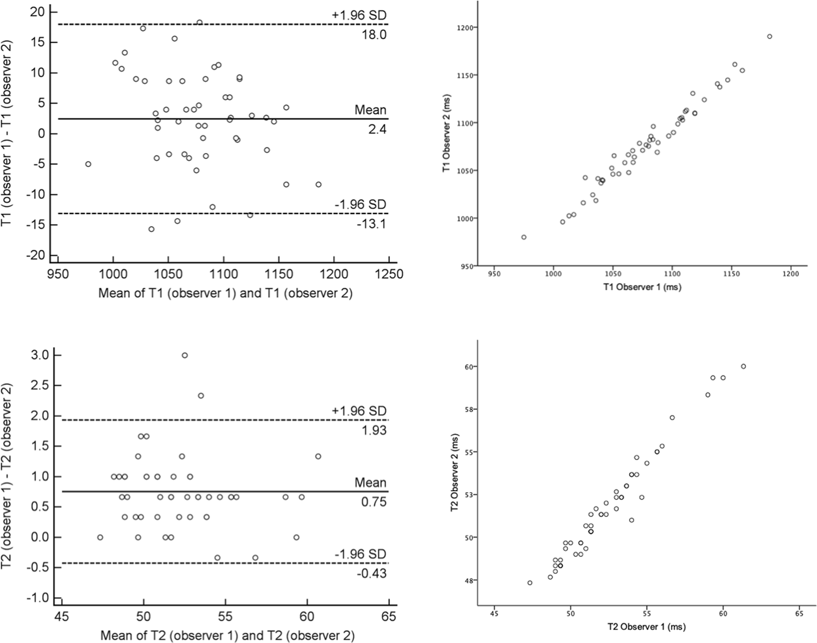
Bland-Altman plots (left) and scatter plots (right) for inter-observer reproducibility of native T1 (top) and T2 (bottom).

Bland-Altman plots (left) and scatter plots (right) for inter-observer reproducibility of native T1 (top) and T2 (bottom).