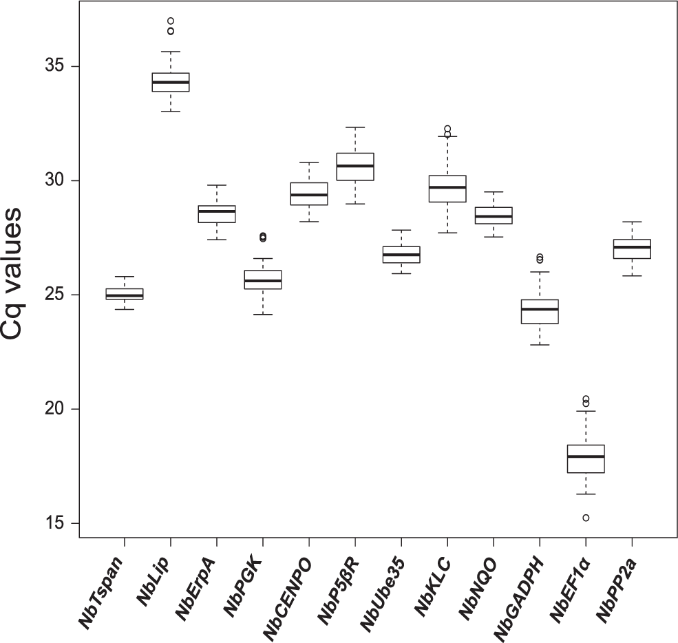
Figure 1

Cycle quantification (Cq) values of selected genes. Box and whisker plot graph showing Cq values of each selected gene in all treatments (Table 1) for all the samples analyzed (three biological replicates per treatment, three technical replicates per sample, n = 24). Black lines and boxes represent the Cq medians and 25/75 percentiles, respectively. Whisker caps represent the minimum and maximum Cq values. ○, indicate outliers.